Преобразование Фурье

Материал из Циклопедии
Перейти к навигации Перейти к поиску

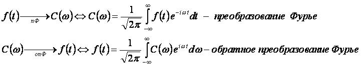
Преобразование Фурье — это операция перевода одной функции f(t) в другую C(ω), являющуюся коэффициентом интеграла Фурье в комплексной форме.

Формулы:[править]

ПФУ01.PNG

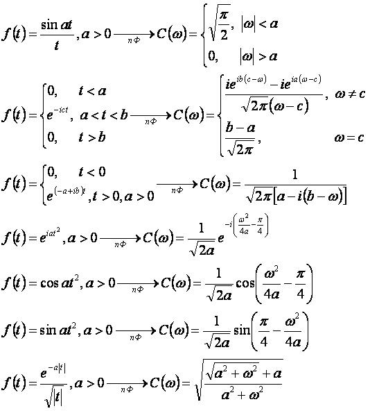
Примеры:[править]

ПФУ11.JPG

Другие преобразования:[править]


См. также[править]

Литература[править]

  • Корн Г., Корн Т. Справочник по математике для научных работников и инженеров. М.: Наука, 1970.

Ссылки[править]