Преобразование Лапласа

Материал из Циклопедии
Перейти к навигации Перейти к поиску

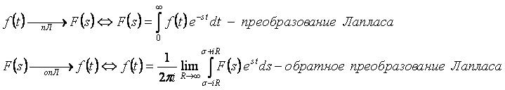
Преобразование Лапласаоперация перевода однозначной действительной функции (оригинала) f(t) в единственную комплексную функцию (изображение) F(s).

Формулы:[править]

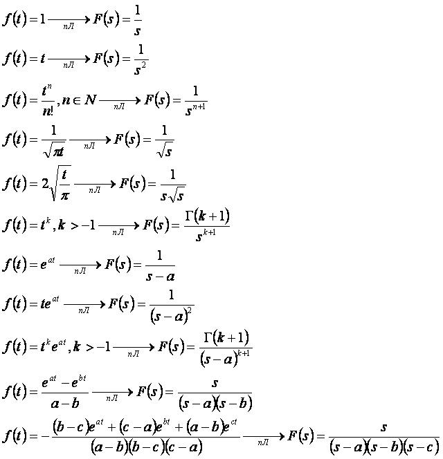
ПЛА01.PNG

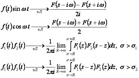
Свойства:[править]

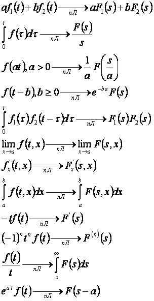
ПЛА04.JPG

ПЛА05.JPG

ПЛА06.PNG

Примеры:[править]

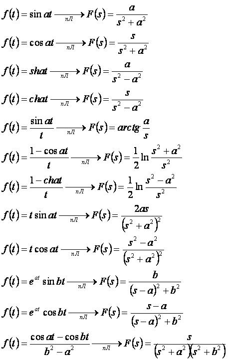
ПЛА11.JPG

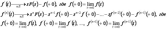
ПЛА12.JPG

См. также[править]

Другие преобразования:[править]


Другие понятия:[править]

Ссылки[править]

  • Корн Г., Корн Т. Справочник по математике для научных работников и инженеров. М.: Наука, 1970.
  • Участник:Logic-samara