Точка экстремума функции

Материал из Циклопедии
Перейти к навигации Перейти к поиску

Точка экстремума функции — точка, в которой функция принимает наименьшее или наибольшее значение в некоторой окрестности этой точки.

Точка экстремума может быть точкой минимума или точкой максимума.

Обозначения[править]

n — число переменных и размерность пространства;

xi — i-ая переменная;

x=(x1, x2, …, xn) — точка n-мерного пространства;

f(x1, x2, …, xn) — функция от n переменных.

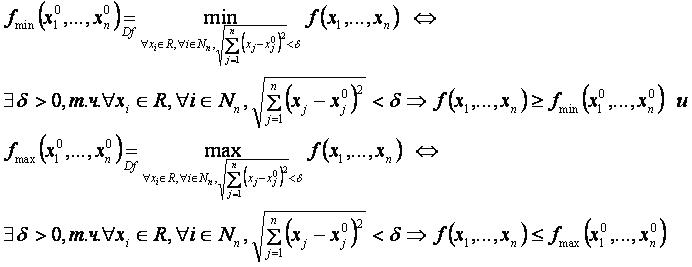
Определения[править]

ЭФ01.JPG

Необходимое условие экстремума[править]

ЭФ11.JPG

Введём дополнительные обозначения.

ЭФ20.JPG — матрица вторых производных в точке x.

ЭФ21.JPG ЭФ22.JPG — главные миноры матрицы вторых производных в точке x0.

Достаточное условие минимума[править]

ЭФ31.JPG

Достаточное условие максимума[править]

ЭФ32.JPG

  • Заметим, что исходная функция должна быть дважды дифференцируема по всем переменным в окрестности точки экстремума.

Другие понятия[править]


Ссылки[править]