Теорема о раздвигании чисел при сохранении произведения
Перейти к навигации
Перейти к поиску
Теорема о раздвигании чисел при сохранении произведения — теорема о раздвигании двух неотрицательных чисел с сохранением произведения этих чисел.
Обозначения[править]
- – первая пара неотрицательных чисел;
- – вторая пара неотрицательных чисел;
- – сумма первой пары чисел;
- – сумма второй пары чисел;
- – произведение первой пары чисел;
- – произведение второй пары чисел.
Определения[править]
Если для пар неотрицательных чисел выполняются условия и , то переход от пары к паре называется сдвиганием чисел с сохранением произведения.
Если для пар неотрицательных чисел выполняются условия и , то переход от пары к паре называется раздвиганием чисел с сохранением произведения.
Теорема[править]
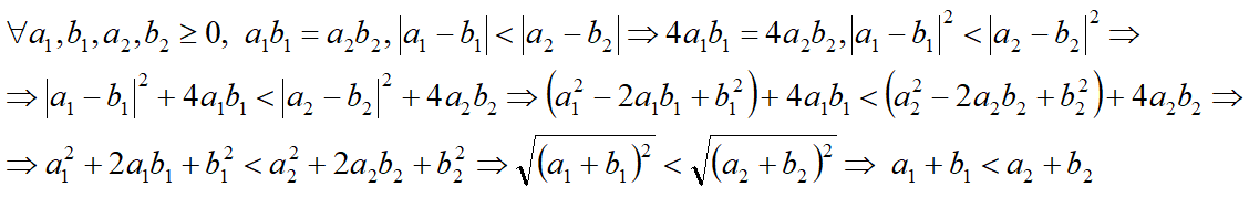
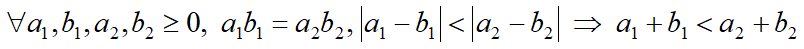
При раздвигании двух неотрицательных чисел с сохранением их произведения сумма этих чисел увеличивается.
Доказательство[править]
ч.т.д.
Другие теоремы:[править]
- о представлении квадратной матрицы в виде произведения двух треугольных;
- о раздвигании чисел при сохранении произведения;
- о раздвигании чисел при сохранении суммы;
- о сдвигании чисел при сохранении произведения;
- о сдвигании чисел при сохранении суммы;
- о существовании второго числа-сомножителя на интервале, сохраняющего произведение концов интервала;
- о существовании второго числа-слагаемого на интервале, сохраняющего сумму концов интервала.
Литература[править]
- Арбит А. В. Неравенства и основные способы их доказательства. Ч.1. М.: МЦНМО, 2016, стр.60-61, 168 с.
