Векторная система дифференциальных уравнений динамического процесса

Материал из Циклопедии
Перейти к навигации Перейти к поиску

Векторная система дифференциальных уравнений динамического процесса — система дифференциальных уравнений, описывающая процесс во времени.

Обозначения[править]

ВЕКТ01.JPG — вектор функций, описывающих процесс;

ВЕКТ02.JPG — вектор производных функций;

МАТР01.JPG — матрица коэффициентов.

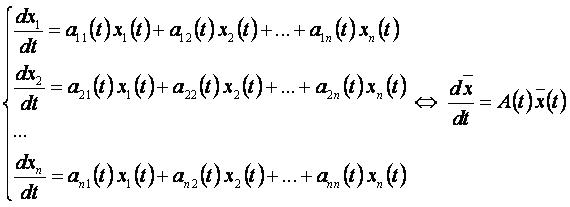
Векторная система дифференциальных уравнений имеет вид:

ВСДУ01.JPG

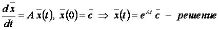
Пример 1[править]

ВСДУ11.PNG

Вектор ВЕКТ03.JPG — это вектор начальных условий.

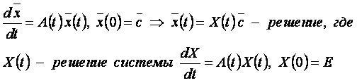
Матрица МАТР04.JPG — это единичная матрица.

Полагая матрицу коэффициентов A постоянной, получаем систему линейных дифференциальных уравнений.

Пример 2[править]

ВСДУ12.JPG

Матрица МАТР05.PNG — это матричная экспонента.

Другие системы:[править]


Другие понятия:[править]


Литература[править]

  • Р. Беллман. Введение в теорию матриц — М.: Наука, 1976, стр.191.

Ссылки[править]