Доверительный интервал дисперсии при известной средней
Доверительный интервал дисперсии при известной средней — интервал, которому принадлежит с вероятностью (1-α) значение дисперсии нормально распределённой случайной величины X в генеральной совокупности.
Обозначения[править]
n — число значений в выборке;
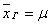
— средняя генеральной совокупности;
DГ — дисперсия генеральной совокупности;
DВ=s2 — дисперсия выборки;
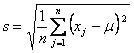
s — среднеквадратическое отклонение выборки, ;
α — уровень значимости — вероятность ошибки 1-го рода;
γ=1-α — коэффициент доверия — вероятность попадания в доверительный интервал;
X2 — переменная X2-распределения;
k — число степеней свободы, k=n;
FX2(X2,k) — интегральная функция X2-распределения;
X2табл=FX2-1(1-αтабл,k) — табличное значение для X2;
FX2табл(αтабл,k)=P(X2>X21-αтабл,k) — табличное значение FX2табл.
Доверительный интервал[править]
Другие интервалы:[править]
