Доверительный интервал средней при известной дисперсии
Доверительный интервал средней при известной дисперсии — интервал, которому принадлежит с вероятностью (1-α) значение средней нормально распределённой случайной величины X в генеральной совокупности.
Обозначения[править]
n — число значений в выборке;
— средняя генеральной совокупности;
σГ=σ — среднеквадратическое отклонение генеральной совокупности;
DГ=σ2 — дисперсия генеральной совокупности;
α — уровень значимости — вероятность ошибки 1-го рода;
γ=1-α — коэффициент доверия — вероятность попадания в доверительный интервал;
x — переменная стандартизованной случайной величины;
u — статистика, распределённая по нормальному закону N(0;1);
— интегральная функция нормального закона распределения стандартизованной случайной величины;
— интегральная функция Лапласа, отличается от интегральной функции нормального закона для стандартизованной случайной величины на 0,5, т.е. Ф(x)=F(x)-0,5.
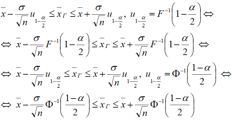
Доверительный интервал[править]
- Заметим, что u1-α/2=-uα/2.
Другие интервалы:[править]
Литература[править]
- Корн Г., Корн Т. Справочник по математике для научных работников и инженеров. М.: Наука, 1970, стр.562.
