Задача о назначениях
Перейти к навигации
Перейти к поиску
Задача о назначениях — это задача оптимального назначения работ исполнителям.
Постановка задачи[править]
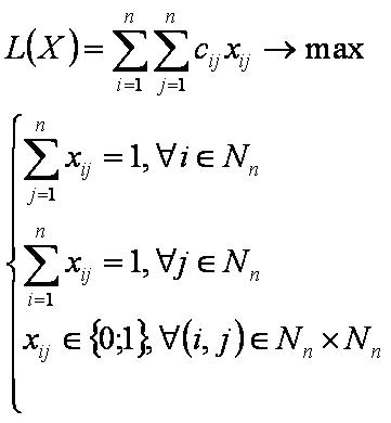
Пусть имеется n работ (A1,A2,…,An) и n исполнителей (B1,B2,…,Bn). Пусть известны доходы cij от назначения i-ой работы j-ому исполнителю и необходимо определить назначения с наибольшей суммой доходов, при этом каждая работа назначается только одному исполнителю и каждый исполнитель назначается только на одну работу. Тогда задача о назначениях (ЗН) формулируется следующим образом:
,
где xij – 1 если есть назначение i-ой работы j-ому исполнителю, 0 - если нет назначения.
Метод решения[править]
Задача о назначениях решается венгерским методом.
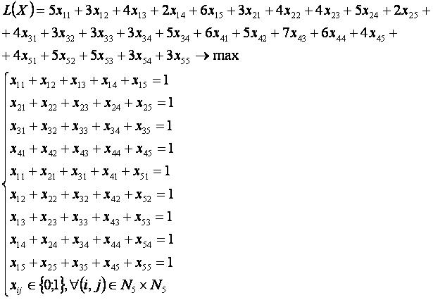
Пример ЗН[править]
Подготовительный этап[править]
Решение венгерским методом[править]
Другие задачи:[править]
- Транспортная задача;
- Распределительная задача;
- Задача о назначениях;
- Транспортная задача с промежуточными пунктами;
- Транспортная задача с промежуточными пунктами с запретами;
- Транспортная задача с промежуточными пунктами и ограничением по транзиту;
- Открытая транспортная задача с промежуточными пунктами;
- Открытая транспортная задача с промежуточными пунктами 1;
- Открытая транспортная задача с промежуточными пунктами 2;
- Открытая транспортная задача с промежуточными пунктами 3;
- Открытая транспортная задача с промежуточными пунктами 4;
- Трёхиндексная транспортная задача;
- Трёхиндексная транспортная задача с аксиальными суммами;
- Трёхиндексная транспортная задача с промежуточными пунктами.
Литература[править]
- Гольштейн Е. Г., Юдин Д. Б. Задачи линейного программирования транспортного типа, М.,1969.