Трёхиндексная транспортная задача с промежуточными пунктами
Трёхиндексная транспортная задача с промежуточными пунктами (ТТЗПП) — ТТЗПП с планарными суммами — это многопродуктовая транспортная задача оптимизации перевозок, являющаяся трёхмерным обобщением транспортной задачи с промежуточными пунктами.
Постановка задачи ТТЗПП[править]
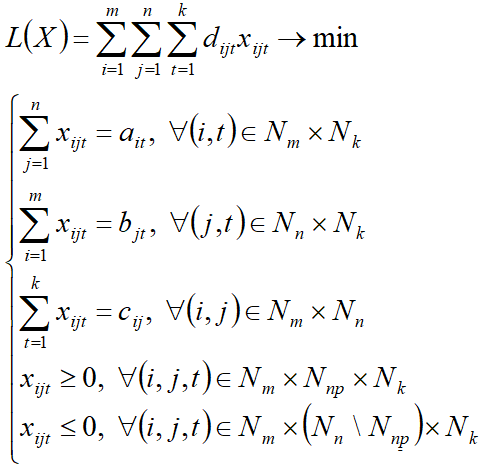
В экономической транспортной системе имеются n конечных пунктов (np поставщиков B1,B2,…,Bnp продукции и (n-np) потребителей Bnp+1,Bnp+2,…,Bn продукции), m промежуточных пунктов (складов A1,A2,…,Am) и k видов продукции (C1,C2,…,Ck). Продукция перевозится от поставщиков на склады, будем обозначать эти перевозки положительными переменными xijt≥0, (i=1,m,j=1,np,t=1,k). А со складов часть продукции перевозится потребителям – их обозначим отрицательными переменными xijt≤0, (i=1,m,j=np+1,n,t=1,k). Объёмы поставок поставщиков обозначим положительными числами bjt>0, (j=1,np,t=1,k), объёмы потребностей потребителей обозначим отрицательными числами bjt<0, (j=np+1,n). Если склад имеет дополнительные потребности продукции t-вида, то обозначим их положительными числами ait>0, (i=1,mp,t=1,k). Если склад имеет излишки продукции или нулевые остатки, то обозначим их числами ait≤0, (i=mp+1,m,t=1,k). Для упрощения метода решения задачи, будем считать, что склады имеющие дополнительные (внутренние) потребности продукции расположены вначале (в любом порядке) списка, а склады имеющие излишки продукции или нулевые остатки – в конце (в любом порядке). Транспортные тарифы на перевозку единицы продукции t-вида от i-поставщика на j-склад выразим положительными числами dijt>0, (i=1,m,j=1,np,t=1,k), транспортные тарифы на перевозку единицы продукции t-вида с i-склада к j-потребителю выразим отрицательными числами dijt<0, (i=1,m,j=np+1,n,t=1,k). Тогда ТТЗПП формулируется следующим образом:
,
где |xijt| — объём перевозок продукта Ct между промежуточным пунктом (складом) Ai и конечным пунктом (поставщиком или потребителем) Bj, знак xijt определяет направление перевозок.
Условия разрешимости[править]
Для разрешимости задачи необходимо выполнение условий баланса:
- ,
- ,
- .
Метод решения ТТЗПП[править]
Трёхиндексная транспортная задача с промежуточными пунктами решается методом потенциалов для решения ТЗПП обобщённым на трёхмерный случай. Пусть имеется допустимое опорное решение ТТЗПП. Базис ТТЗПП содержит mn+mk+nk-m-n-k+1 базисных элементов. Тогда метод потенциалов для ТТЗПП принимает вид.
Метод потенциалов[править]
1. Берём допустимое опорное решение Xmxnxk и базис Zmxnxk.
2. Определяем значение целевой функции L=ΣΣΣdijtxijt и базис опорного решения Bo={(i,j,t)|zijt=1}.
3. Определяем оценку Δo и элемент (io,jo,to) с помощью алгоритма расчёта потенциалов для ТТЗПП (также определяются оценки оптимальности Δijt).
4. Проверяем решение на оптимальность. Если Δo=0, то решение Xmxnxk – оптимальное и конец работы, иначе определяем E+={(i,j,t)|Δijt≥0,j≤np}, E-={(i,j,t)|Δijt≤0,j>np}, E=E+UE-\Bo.
5. Определяем оценку Δx, элемент (ix,jx,tx) и новое опорное решение Xmxnxk с помощью алгоритма перераспределения перевозок для ТТЗПП. Если нового допустимого опорного решения нет, то переходим к пункту 7.
6. Определяем новое значение целевой функции L=L-ΔoΔx и новый базис Bo=Bo\(ix,jx,tx)U(io,jo,to). Переходим к пункту 3.
7. Переопределяем множество E=E\(io,jo,to) и определяем новую оценку Δo и элемент (io,jo,to) из множества E. Если новый элемент (io,jo,to) есть, то переходим к пункту 5, иначе конец работы.
Другие задачи:[править]
- Транспортная задача;
- Распределительная задача;
- Задача о назначениях;
- Транспортная задача с промежуточными пунктами;
- Транспортная задача с промежуточными пунктами с запретами;
- Транспортная задача с промежуточными пунктами и ограничением по транзиту;
- Открытая транспортная задача с промежуточными пунктами;
- Открытая транспортная задача с промежуточными пунктами 1;
- Открытая транспортная задача с промежуточными пунктами 2;
- Открытая транспортная задача с промежуточными пунктами 3;
- Открытая транспортная задача с промежуточными пунктами 4;
- Трёхиндексная транспортная задача;
- Трёхиндексная транспортная задача с аксиальными суммами;
- Трёхиндексная транспортная задача с промежуточными пунктами.
Литература[править]
- Кривопалов Ю. А. Метод потенциалов для решения трёхиндексной транспортной задачи. М.,ВИМИ, 1990г. деп.№Д08221.
- Кривопалов В. Ю., Модель транспортной задачи с промежуточными пунктами в матричной постановке, «Вестник Самарского государственного аэрокосмического университета» № 3, 2012.
- Кривопалов В. Ю., Обобщённый метод потенциалов для решения транспортной задачи с промежуточными пунктами. Сборник Х конференции «Наука. Творчество» 2014, Самара-Москва, Т.1,стр.23-29.
- Кривопалов Ю. А. Метод потенциалов для решения трёхиндексной транспортной задачи. Сборник ХI конференции «Наука. Творчество» 2015, Самара, Т.1,стр.39.
Ссылки[править]
- Krivopalov V. Y., Krivopalov Y. A. The potential method for solving the transportation problem with transit points. New Magenta Papers. Magenta Technology, 2013. — Vol.2 — P.31-38. Перевод статьи.

