Коэффициент асимметрии интервального ряда

Материал из Циклопедии
Перейти к навигации Перейти к поиску

Коэффициент асимметрии, для интервального ряда — числовая характеристика случайной величины, равная отношению центрального момента третьего порядка к кубу среднеквадратического отклонения.

Обозначения[править]

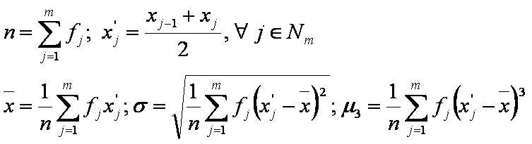
n — объём совокупности;

m — число интервалов;

xi-1 — нижняя граница i-ого интервала;

xi — верхняя граница i-ого интервала;

xi — середина i-ого интервала;

fi — частота i-ого интервала;

средняя — математическое ожидание;

μ3центральный момент третьего порядка;

σсреднеквадратическое отклонение;

As — коэффициент асимметрии.

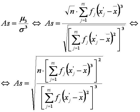
Формула[править]

АСИ01.JPG

где

АСИ02.PNG

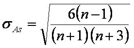
Ошибка коэффициента асимметрии.

АСИ03.JPG

Другие формулы[править]


Ссылки[править]