Сортировка
Перейти к навигации
Перейти к поиску
Сортировка — алгоритм (операция) упорядочения элементов конечного множества (массива).
Обозначения[править]
n – число элементов;
{A1, A2,…, An} – массив элементов.
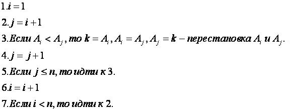
Сортировка по возрастанию[править]
Входные данные: n, {A1,A2,…,An}.
Выходные данные: {A1,A2,…,An} - массив упорядоченный по возрастанию элементов.
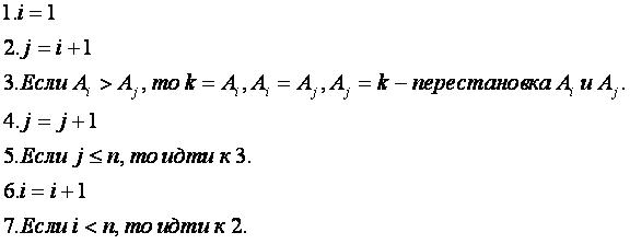
Сортировка по убыванию[править]
Входные данные: n, {A1,A2,…,An}.
Выходные данные: {A1,A2,…,An} - массив упорядоченный по убыванию элементов.
См.также[править]
Другие алгоритмы[править]
- методы доказательств;
- алгоритмы в арифметике;
- алгоритмы перевода чисел;
- комбинаторные алгоритмы;
- сортировка;
- алгоритм определения мест;
- логистические алгоритмы;
- алгоритмы решения транспортных задач;
- численные методы;
- рекурсия;
- схема примитивной рекурсии;
- виды рекурсии;
- машина Поста;
- машина Тьюринга (вероятностная);
- синтез автомата Мили;
- синтез автомата Мура.