Средний абсолютный прирост

Материал из Циклопедии
Перейти к навигации Перейти к поиску

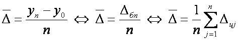
Средний абсолютный прирост — число, характеризующее средний прирост показателя в единицах измерения.

Рассчитывается как отношение разности значений показателя (n-ого отчётного периода и базисного периода) и числа n.

Обозначения:[править]

n — число анализируемых (отчётных) периодов (или моментов времени);

j — индекс (номер) периода (или момента времени);

y0 — значение показателя (уровень) в базисном периоде;

yj — значение показателя (уровень) в j-ом отчётном периоде;

бjj-ый базисный абсолютный прирост показателя в единицах измерения;

цjj-ый цепной абсолютный прирост показателя в единицах измерения;

АПР00.JPG — средний абсолютный прирост показателя в единицах измерения.

Формулы:[править]

АПР11.JPG

Другие показатели:[править]

Ссылки[править]