Темп прироста

Материал из Циклопедии
Перейти к навигации Перейти к поиску

Темп прироста — число, характеризующее прирост показателя в относительных единицах.

Рассчитывается как разность отношения значений показателя (уровней) и единицы. При умножении на 100% измеряется в процентах.

Обозначения:[править]

n — число анализируемых (отчётных) периодов (или моментов времени);

j — индекс (номер) периода (или момента времени);

y0 — значение показателя (уровень) в базисном периоде;

yj — значение показателя (уровень) в j-ом отчётном периоде;

Tпр — темп прироста в относительных единицах;

Tпр% — темп прироста в процентах;

Tпрбjj-ый базисный темп прироста в относительных единицах;

Tпрбj%j-ый базисный темп прироста в процентах;

Tпрцjj-ый цепной темп прироста в относительных единицах;

Tпрцj%j-ый цепной темп прироста в процентах;

— абсолютный прирост показателя в единицах измерения;

бjj-ый базисный абсолютный прирост показателя в единицах измерения;

цjj-ый цепной абсолютный прирост показателя в единицах измерения.

Формулы:[править]

ТПР01.JPG

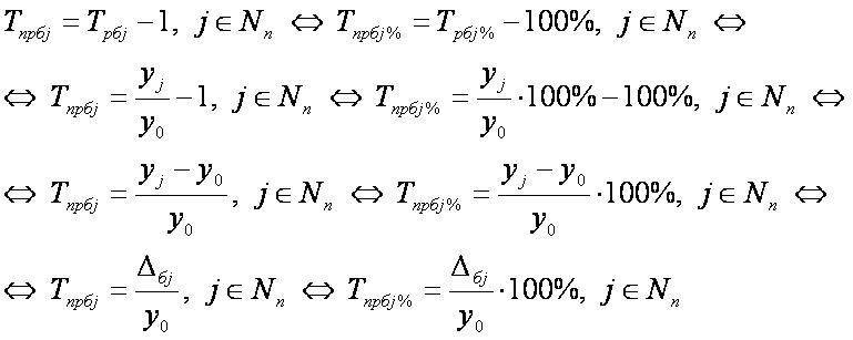
Базисные:[править]

ТПР02.JPG

Цепные:[править]

ТПР03.JPG

Другие показатели:[править]

Ссылки[править]