Средний темп прироста

Материал из Циклопедии
Перейти к навигации Перейти к поиску

Средний темп прироста — число, характеризующее средний прирост показателя в относительных единицах.

Рассчитывается как разность среднего темпа роста в относительных единицах и единицы. При умножении на 100% измеряется в процентах.

Обозначения:[править]

n — число анализируемых (отчётных) периодов (или моментов времени);

j — индекс (номер) периода (или момента времени);

y0 — значение показателя (уровень) в базисном периоде;

yj — значение показателя (уровень) в j-ом отчётном периоде;

Tпрбjj-ый базисный темп прироста в относительных единицах;

Tпрцjj-ый цепной темп прироста в относительных единицах;

ТПР00.JPG — средний темп прироста в относительных единицах.

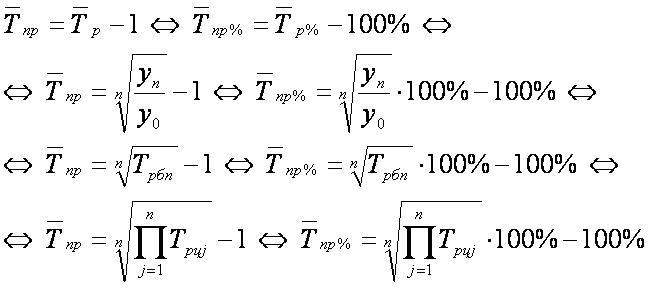
Формулы:[править]

ТПР11.JPG

Другие показатели:[править]

Ссылки[править]