Замкнутая СМО
СМО замкнутая — это система массового обслуживания, в которой есть фиксированное число источников заявок. Поток заявок каждого источника имеет одинаковую интенсивность. Первоначальный поток заявок имеет интенсивность большую в «число источников»-раз, чем поток заявок от одного источника. Каждое поступление заявки, снижает интенсивность входного потока на интенсивность потока от одного источника. Если заявка приходит, в момент, когда все каналы свободны, то она немедленно поступает на обслуживание одним любым каналом. Если заявка приходит, в момент, когда свободен хотя бы один канал, то она немедленно поступает на обслуживание одним из свободных каналов. Если заявка приходит, в момент, когда все каналы заняты, то она становится в очередь и ожидает освобождения канала, который её может обслужить.
Описание модели[править]
На вход n-канальной СМО с m-очередью поступает поток заявок от (n+m)-источников, причём каждый источник заявок даёт простейший поток заявок с интенсивностью λ.
Интенсивность простейшего потока обслуживания каждого канала μ.
Если заявка застаёт все каналы свободными, то она принимается на обслуживание и обслуживается одним из n каналов.
После окончания обслуживания один канал освобождается.
Если вновь прибывшая заявка застаёт в системе свободным хотя бы один канал, то она принимается на обслуживание одним из свободных каналов и обслуживается до конца.
Если заявка застаёт все каналы занятыми, то она становится в очередь и «терпеливо» ждёт своего обслуживания.
Дисциплина очереди естественная: кто раньше пришёл, тот раньше и обслуживается. Максимальное число мест в очереди m.
Каждое поступление заявки, снижает интенсивность входного потока на поток от одного источника.
Состояние рассмотренной системы будем связывать с числом заявок, находящихся в системе.
Граф состояний[править]
Рассмотрим множество состояний системы:
S0 — в системе нет ни одной заявки, все каналы свободны;
S1 — в системе имеется одна заявка, она обслуживается одним каналом;
S2 — в системе имеется две заявки, они обслуживаются двумя каналами;
…;
Sk — в системе имеется k-заявок, они обслуживаются k-каналами;
…;
Sn — в системе имеется n-заявок, они обслуживаются n-каналами, очереди нет;
Sn+1 — в системе имеется (n+1)-заявок, n из них обслуживаются n-каналами, а одна заявка ожидает в очереди;
…;
Sn+r — в системе имеется (n+r)-заявок, n из них обслуживаются n-каналами, а r-заявок ожидают в очереди;
…;
Sn+m — в системе имеется (n+m)-заявок, n из них обслуживаются n-каналами, а m-заявок ожидают в очереди;
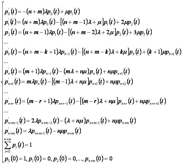
Система дифференциальных уравнений[править]
Система дифференциальных уравнений, описывающих поведение системы, имеет вид:
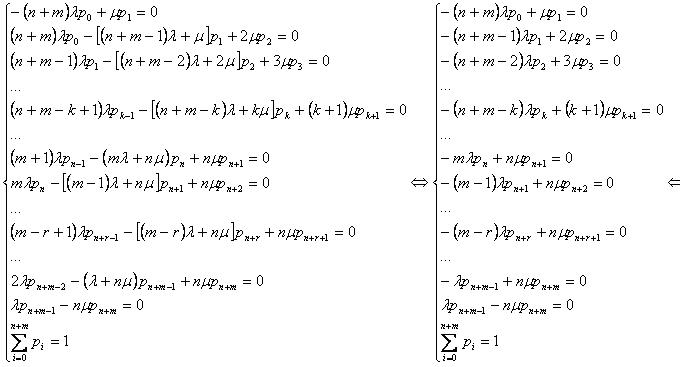
Рассмотрим стационарный режим работы системы (при t→∞).
Система уравнений принимает вид:
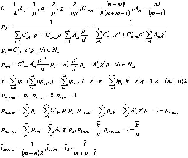
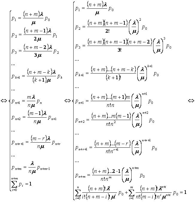
Суммируя в системе уравнения с первого до i-го (i=1,n+m), получаем упрощённый вид системы.
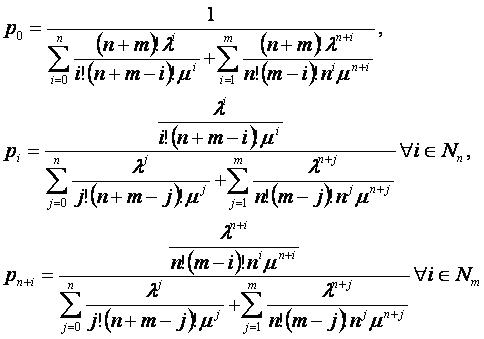
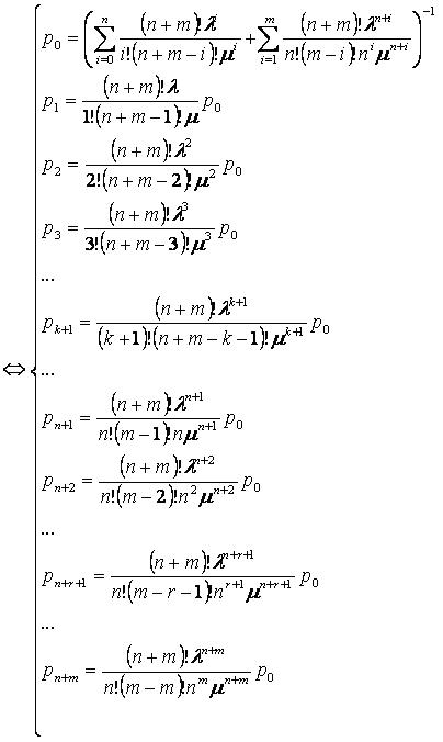
Решим систему относительно p0,p1,…,pn+m.
В результате получаем решение системы:
Основные характеристики системы[править]
- Заметим, что при n=1 СМО замкнутая становится одноканальной.
Другие СМО[править]
- СМО с отказами;
- СМО с очередью;
- СМО с ограниченным временем ожидания;
- СМО с взаимопомощью с очередью;
- СМО с отказами и взаимопомощью;
- СМО с бесконечным числом каналов;
- СМО с бесконечной очередью;
- СМО замкнутая без очереди.
Литература[править]
- Овчаров Л. А. Прикладные задачи теории массового обслуживания — М.,1969.