СМО с ограниченным временем ожидания

Материал из Циклопедии
Перейти к навигации Перейти к поиску
Математическая модель СМО с ограниченным временем ожидания

СМО с ограниченным временем ожидания — это система массового обслуживания с очередью, в которой «нетерпеливая» заявка может уйти из очереди, не дождавшись обслуживания.

Описание модели[править]

На вход n-канальной СМО с m-очередью поступает простейший поток заявок с интенсивностью λ.

Интенсивность простейшего потока обслуживания каждого канала μ.

Если заявка застаёт все каналы свободными, то она принимается на обслуживание и обслуживается одним из n каналов.

После окончания обслуживания один канал освобождается.

Если вновь прибывшая заявка застаёт в системе свободным хотя бы один канал, то она принимается на обслуживание одним из свободных каналов и обслуживается до конца.

Если заявка застаёт все каналы занятыми, то она становится в очередь и «нетерпеливо» (в пределах ограниченного времени ожидания) ждёт своего обслуживания, иначе заявка уходит из очереди и исключается из обслуживания.

Дисциплина очереди естественная: кто раньше пришёл, тот раньше и обслуживается. Максимальное число мест в очереди m.

Если вновь прибывшая заявка застаёт в очереди m-заявок, то она получает отказ и исключается из обслуживания.

Состояние рассмотренной системы будем связывать с числом заявок, находящихся в системе.

Граф состояний[править]

СМО31.JPG

Рассмотрим множество состояний системы:

S0 — в системе нет ни одной заявки, все каналы свободны;

S1 — в системе имеется одна заявка, она обслуживается одним каналом;

S2 — в системе имеется две заявки, они обслуживаются двумя каналами;

;

Sk — в системе имеется k-заявок, они обслуживаются k-каналами;

;

Sn — в системе имеется n-заявок, они обслуживаются n-каналами, очереди нет;

Sn+1 — в системе имеется (n+1)-заявок, n из них обслуживаются n-каналами, а одна заявка «нетерпеливо» ожидает в очереди;

;

Sn+r — в системе имеется (n+r)-заявок, n из них обслуживаются n-каналами, а r-заявок «нетерпеливо» ожидают в очереди;

;

Sn+m — в системе имеется (n+m)-заявок, n из них обслуживаются n-каналами, а m-заявок «нетерпеливо» ожидают в очереди;

Система дифференциальных уравнений[править]

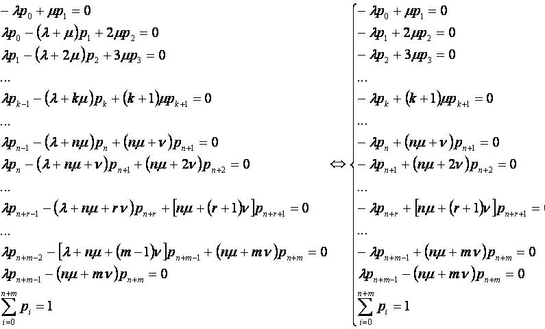
Система дифференциальных уравнений, описывающих поведение системы, имеет вид:

СМО32.JPG

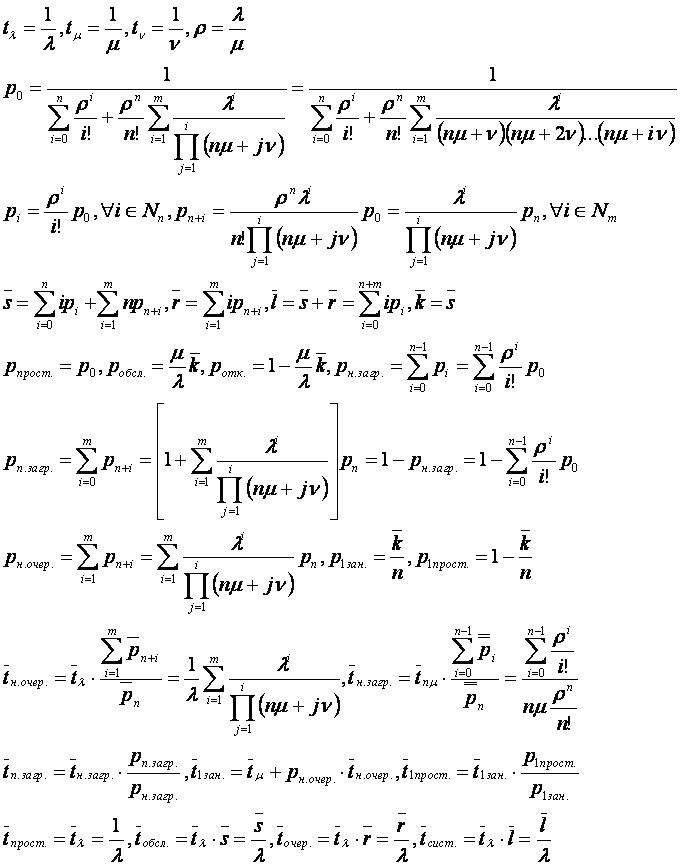
Рассмотрим стационарный режим работы системы (при t→∞).

Система уравнений принимает вид:

СМО33.JPG

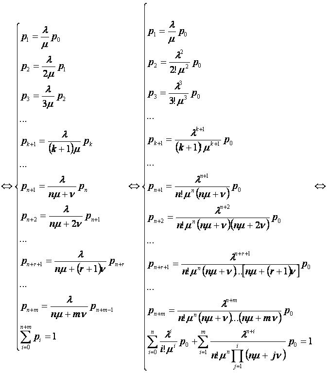
Суммируя в системе уравнения с первого до i-го (i=1,n+m), получаем упрощённый вид системы.

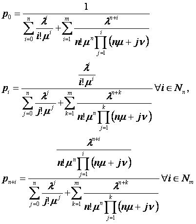
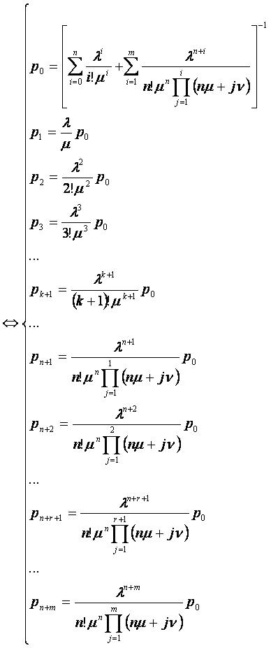
Решим систему относительно p0,p1,…,pn+m.

СМО34.JPG

СМО35.JPG

В результате получаем решение системы:

СМО36.JPG

Основные характеристики системы[править]

СМО37.PNG

  • Заметим, что при n=1 СМО с ограниченным временем ожидания становится одноканальной.

Другие СМО[править]

Литература[править]

  • Овчаров Л. А. Прикладные задачи теории массового обслуживания. — М.: «Машиностроение», 1969.

Ссылки[править]