VIDEO
Многоканальные системы с отказами [8:04]
СМО с отказами — это система массового обслуживания , в которой есть каналы обслуживания, но нет очереди: если заявка приходит, в момент, когда все каналы свободны, то она немедленно обслуживается любым одним каналом, если заявка приходит — когда уже обслуживаются заявки числом меньше, чем число каналов, то она немедленно обслуживается одним из свободных каналов, иначе если заявка приходит — когда заняты все каналы, то заявка покидает систему (теряется).
Описание модели [ править ]
На вход n -канальной СМО поступает простейший поток заявок с интенсивностью λ .
Интенсивность простейшего потока обслуживания каждого канала μ .
Если заявка застаёт все каналы свободными, она принимается на обслуживание и обслуживается любым одним из n -каналов.
Если заявка застаёт свободным хотя бы один канал, то она принимается на обслуживание любым из свободных каналов и обслуживается до конца.
Если заявка застаёт все каналы занятыми, то она получает отказ (покидает систему не обслуженной).
После окончания обслуживания одной заявки освобождается один канал.
Состояние рассмотренной системы будем связывать с числом заявок, находящихся в системе.
Граф состояний [ править ]
Рассмотрим множество состояний системы:
S0 — в системе нет ни одной заявки, все каналы свободны;
S1 — в системе имеется одна заявка, она обслуживается одним каналом;
S2 — в системе имеется две заявки, они обслуживается двумя каналами;
… ;
Sk — в системе имеется k -заявок, они обслуживаются k -каналами;
Sk+1 — в системе имеется (k+1) -заявок, они обслуживаются (k+1) -каналами;
… ;
Sn-1 — в системе имеется (n-1) -заявок, они обслуживаются (n-1) -каналами;
Sn — в системе имеется n -заявок, они обслуживаются n -каналами.
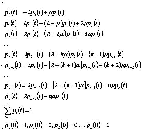
Система дифференциальных уравнений [ править ]
Система дифференциальных уравнений, описывающих поведение системы, имеет вид:
{
p
0
′
(
t
)
=
−
λ
p
0
(
t
)
+
μ
p
1
(
t
)
p
1
′
(
t
)
=
λ
p
0
(
t
)
−
(
λ
+
μ
)
p
1
(
t
)
+
2
μ
p
2
(
t
)
p
2
′
(
t
)
=
λ
p
1
(
t
)
−
(
λ
+
2
μ
)
p
2
(
t
)
+
3
μ
p
3
(
t
)
…
p
k
′
(
t
)
=
λ
p
k
−
1
(
t
)
−
(
λ
+
k
μ
)
p
k
(
t
)
+
(
k
+
1
)
μ
p
k
+
1
(
t
)
p
k
+
1
′
(
t
)
=
λ
p
k
(
t
)
−
(
λ
+
(
k
+
1
)
μ
)
p
k
+
1
(
t
)
+
(
k
+
2
)
μ
p
k
+
2
(
t
)
…
p
n
−
1
′
(
t
)
=
λ
p
n
−
2
(
t
)
−
(
λ
+
(
n
−
1
)
μ
)
p
n
−
1
(
t
)
+
n
μ
p
n
(
t
)
p
n
′
(
t
)
=
λ
p
n
−
1
(
t
)
−
n
μ
p
n
(
t
)
∑
i
=
0
n
p
i
(
t
)
=
1
p
0
(
0
)
=
1
,
p
1
(
0
)
=
0
,
p
2
(
0
)
=
0
,
…
,
p
n
(
0
)
=
0
{\displaystyle {\begin{cases}p_{0}'(t)=-\lambda p_{0}(t)+\mu p_{1}(t)\\p_{1}'(t)=\lambda p_{0}(t)-(\lambda +\mu )p_{1}(t)+2\mu p_{2}(t)\\p_{2}'(t)=\lambda p_{1}(t)-(\lambda +2\mu )p_{2}(t)+3\mu p_{3}(t)\\\ldots \\p_{k}'(t)=\lambda p_{k-1}(t)-(\lambda +k\mu )p_{k}(t)+(k+1)\mu p_{k+1}(t)\\p_{k+1}'(t)=\lambda p_{k}(t)-(\lambda +(k+1)\mu )p_{k+1}(t)+(k+2)\mu p_{k+2}(t)\\\ldots \\p_{n-1}'(t)=\lambda p_{n-2}(t)-(\lambda +(n-1)\mu )p_{n-1}(t)+n\mu p_{n}(t)\\p_{n}'(t)=\lambda p_{n-1}(t)-n\mu p_{n}(t)\\\sum \limits _{i=0}^{n}p_{i}(t)=1\\p_{0}(0)=1,\ p_{1}(0)=0,\ p_{2}(0)=0,\ldots ,\ p_{n}(0)=0\end{cases}}}
Рассмотрим стационарный режим работы системы (при t → ∞ ).
Система уравнений принимает вид:
{
−
λ
p
0
+
μ
p
1
=
0
λ
p
0
−
(
λ
+
μ
)
p
1
+
2
μ
p
2
=
0
λ
p
1
−
(
λ
+
2
μ
)
p
2
+
3
μ
p
3
=
0
…
λ
p
k
−
1
−
(
λ
+
k
μ
)
p
k
+
(
k
+
1
)
μ
p
k
=
0
λ
p
k
−
(
λ
+
(
k
+
1
)
μ
)
p
k
+
1
+
(
k
+
2
)
μ
p
k
+
1
=
0
…
λ
p
n
−
2
−
(
λ
+
(
n
−
1
)
μ
)
p
n
−
1
+
n
μ
p
n
=
0
λ
p
n
−
1
−
n
μ
p
n
=
0
∑
i
=
0
n
p
i
=
1
{\displaystyle {\begin{cases}-\lambda p_{0}+\mu p_{1}=0\\\lambda p_{0}-(\lambda +\mu )p_{1}+2\mu p_{2}=0\\\lambda p_{1}-(\lambda +2\mu )p_{2}+3\mu p_{3}=0\\\ldots \\\lambda p_{k-1}-(\lambda +k\mu )p_{k}+(k+1)\mu p_{k}=0\\\lambda p_{k}-(\lambda +(k+1)\mu )p_{k+1}+(k+2)\mu p_{k+1}=0\\\ldots \\\lambda p_{n-2}-(\lambda +(n-1)\mu )p_{n-1}+n\mu p_{n}=0\\\lambda p_{n-1}-n\mu p_{n}=0\\\sum \limits _{i=0}^{n}p_{i}=1\end{cases}}}
⇔
{\displaystyle \Leftrightarrow }
{
−
λ
p
0
+
μ
p
1
=
0
−
λ
p
1
+
2
μ
p
2
=
0
−
λ
p
2
+
3
μ
p
3
=
0
…
−
λ
p
k
+
(
k
+
1
)
μ
p
k
+
1
=
0
−
λ
p
k
+
1
+
(
k
+
2
)
μ
p
k
+
2
=
0
…
−
λ
p
n
−
1
+
n
μ
p
n
=
0
λ
p
n
−
1
−
n
μ
p
n
=
0
∑
i
=
0
n
p
i
=
1
{\displaystyle {\begin{cases}-\lambda p_{0}+\mu p_{1}=0\\-\lambda p_{1}+2\mu p_{2}=0\\-\lambda p_{2}+3\mu p_{3}=0\\\ldots \\-\lambda p_{k}+(k+1)\mu p_{k+1}=0\\-\lambda p_{k+1}+(k+2)\mu p_{k+2}=0\\\ldots \\-\lambda p_{n-1}+n\mu p_{n}=0\\\lambda p_{n-1}-n\mu p_{n}=0\\\sum \limits _{i=0}^{n}p_{i}=1\end{cases}}}
Суммируя в системе уравнения с первого до i -го (i=1, …, n ), получаем упрощённый вид системы.
Решим систему относительно p0 ,p1 , …, pn .
{
p
1
=
λ
μ
p
0
p
2
=
λ
2
μ
p
1
p
3
=
λ
3
μ
p
2
…
p
k
+
1
=
λ
(
k
+
1
)
μ
p
k
p
k
+
2
=
λ
(
k
+
2
)
μ
p
k
+
1
…
p
n
−
1
=
λ
(
n
−
1
)
μ
p
n
−
2
p
n
=
λ
n
μ
p
n
−
1
∑
i
=
0
n
p
i
=
1
{\displaystyle {\begin{cases}p_{1}={\frac {\lambda }{\mu }}p_{0}\\p_{2}={\frac {\lambda }{2\mu }}p_{1}\\p_{3}={\frac {\lambda }{3\mu }}p_{2}\\\ldots \\p_{k+1}={\frac {\lambda }{(k+1)\mu }}p_{k}\\p_{k+2}={\frac {\lambda }{(k+2)\mu }}p_{k+1}\\\ldots \\p_{n-1}={\frac {\lambda }{(n-1)\mu }}p_{n-2}\\p_{n}={\frac {\lambda }{n\mu }}p_{n-1}\\\sum \limits _{i=0}^{n}p_{i}=1\end{cases}}}
⇔
{\displaystyle \Leftrightarrow }
{
p
1
=
λ
μ
p
0
p
2
=
1
2
!
(
λ
μ
)
2
p
0
p
3
=
1
3
!
(
λ
μ
)
3
p
0
…
p
k
+
1
=
1
(
k
+
1
)
!
(
λ
μ
)
k
+
1
p
0
p
k
+
2
=
1
(
k
+
2
)
!
(
λ
μ
)
k
+
2
p
0
…
p
n
−
1
=
1
(
n
−
1
)
!
(
λ
μ
)
n
−
1
p
0
p
n
=
1
n
!
(
λ
μ
)
n
p
0
∑
i
=
0
n
1
i
!
(
λ
μ
)
i
p
0
=
1
{\displaystyle {\begin{cases}p_{1}={\frac {\lambda }{\mu }}p_{0}\\p_{2}={\frac {1}{2!}}\left({\frac {\lambda }{\mu }}\right)^{2}p_{0}\\p_{3}={\frac {1}{3!}}\left({\frac {\lambda }{\mu }}\right)^{3}p_{0}\\\ldots \\p_{k+1}={\frac {1}{(k+1)!}}\left({\frac {\lambda }{\mu }}\right)^{k+1}p_{0}\\p_{k+2}={\frac {1}{(k+2)!}}\left({\frac {\lambda }{\mu }}\right)^{k+2}p_{0}\\\ldots \\p_{n-1}={\frac {1}{(n-1)!}}\left({\frac {\lambda }{\mu }}\right)^{n-1}p_{0}\\p_{n}={\frac {1}{n!}}\left({\frac {\lambda }{\mu }}\right)^{n}p_{0}\\\sum \limits _{i=0}^{n}{\frac {1}{i!}}\left({\frac {\lambda }{\mu }}\right)^{i}p_{0}=1\end{cases}}}
⇔
{\displaystyle \Leftrightarrow }
{
p
0
=
(
∑
i
=
0
n
λ
i
i
!
μ
i
)
−
1
p
1
=
λ
μ
p
0
…
p
i
=
λ
i
i
!
μ
i
p
0
…
p
n
=
λ
n
n
!
μ
n
p
0
{\displaystyle {\begin{cases}p_{0}=\left(\sum \limits _{i=0}^{n}{\frac {\lambda ^{i}}{i!\mu ^{i}}}\right)^{-1}\\p_{1}={\frac {\lambda }{\mu }}p_{0}\\\ldots \\p_{i}={\frac {\lambda ^{i}}{i!\mu ^{i}}}p_{0}\\\ldots \\p_{n}={\frac {\lambda ^{n}}{n!\mu ^{n}}}p_{0}\end{cases}}}
В результате получаем решение системы:
p
0
=
1
∑
i
=
0
n
λ
i
i
!
μ
i
,
p
i
=
λ
i
i
!
μ
i
p
0
,
∀
i
∈
N
n
{\displaystyle p_{0}={\frac {1}{\sum \limits _{i=0}^{n}{\frac {\lambda ^{i}}{i!\mu ^{i}}}}},\ p_{i}={\frac {\lambda ^{i}}{i!\mu ^{i}}}p_{0},\forall i\in N_{n}}
Основные характеристики системы [ править ]
t
λ
=
1
λ
,
t
μ
=
1
μ
,
ρ
=
λ
μ
,
χ
=
λ
n
μ
,
{\displaystyle t_{\lambda }={\frac {1}{\lambda }},t_{\mu }={\frac {1}{\mu }},\rho ={\frac {\lambda }{\mu }},\chi ={\frac {\lambda }{n\mu }},}
p
0
=
1
∑
i
=
0
n
ρ
i
i
!
=
1
1
+
ρ
1
!
+
ρ
2
2
!
+
…
+
ρ
n
n
!
,
p
i
=
ρ
i
i
!
p
0
,
∀
i
∈
N
n
,
{\displaystyle p_{0}={\frac {1}{\sum \limits _{i=0}^{n}{\frac {\rho ^{i}}{i!}}}}={\frac {1}{1+{\frac {\rho }{1!}}+{\frac {\rho ^{2}}{2!}}+\ldots +{\frac {\rho ^{n}}{n!}}}},p_{i}={\frac {\rho ^{i}}{i!}}p_{0},\forall i\in N_{n},}
s
¯
=
∑
i
=
0
n
i
p
i
=
ρ
(
1
−
p
n
)
=
ρ
(
1
−
ρ
n
n
!
p
0
)
,
r
¯
=
0
,
l
¯
=
s
¯
,
k
¯
=
s
¯
,
{\displaystyle {\bar {s}}={\sum \limits _{i=0}^{n}{ip_{i}}}=\rho (1-p_{n})=\rho \left(1-{\frac {\rho ^{n}}{n!}}p_{0}\right),{\bar {r}}=0,{\bar {l}}={\bar {s}},{\bar {k}}={\bar {s}},}
q
=
1
−
p
n
=
1
−
ρ
n
n
!
p
0
,
A
=
λ
(
1
−
p
n
)
=
λ
(
1
−
ρ
n
n
!
p
0
)
,
{\displaystyle q=1-p_{n}=1-{\frac {\rho ^{n}}{n!}}p_{0},A=\lambda (1-p_{n})=\lambda \left(1-{\frac {\rho ^{n}}{n!}}p_{0}\right),}
p
прост.
=
p
0
,
p
отк.
=
p
n
=
ρ
n
n
!
p
0
,
p
обсл.
=
1
−
p
n
=
1
−
ρ
n
n
!
p
0
,
{\displaystyle p_{\text{прост.}}=p_{0},p_{\text{отк.}}=p_{n}={\frac {\rho ^{n}}{n!}}p_{0},p_{\text{обсл.}}=1-p_{n}=1-{\frac {\rho ^{n}}{n!}}p_{0},}
p
п.загр.
=
p
n
=
ρ
n
n
!
p
0
,
p
н.загр.
=
∑
i
=
0
n
−
1
p
i
=
∑
i
=
0
n
−
1
ρ
i
i
!
p
0
=
1
−
p
n
=
1
−
ρ
n
n
!
p
0
,
{\displaystyle p_{\text{п.загр.}}=p_{n}={\frac {\rho ^{n}}{n!}}p_{0},p_{\text{н.загр.}}=\sum \limits _{i=0}^{n-1}p_{i}=\sum \limits _{i=0}^{n-1}{\frac {\rho ^{i}}{i!}}p_{0}=1-p_{n}=1-{\frac {\rho ^{n}}{n!}}p_{0},}
p
н.очер.
=
0
,
p
1зан.
=
k
¯
n
=
ρ
n
(
1
−
p
n
)
=
χ
(
1
−
p
n
)
,
p
1прост.
=
1
−
k
¯
n
=
1
−
χ
(
1
−
p
n
)
,
{\displaystyle p_{\text{н.очер.}}=0,p_{\text{1зан.}}={\frac {\bar {k}}{n}}={\frac {\rho }{n}}(1-p_{n})=\chi (1-p_{n}),p_{\text{1прост.}}=1-{\frac {\bar {k}}{n}}=1-\chi (1-p_{n}),}
t
¯
п.загр.
=
1
n
μ
,
t
¯
н.загр.
=
t
¯
п.загр.
⋅
p
н.загр.
p
п.загр.
=
∑
i
=
0
n
−
1
ρ
i
i
!
n
μ
ρ
n
n
!
=
1
−
ρ
n
n
!
p
0
n
μ
ρ
n
n
!
p
0
=
1
−
p
n
n
μ
p
n
,
t
¯
н.очер.
=
0
,
{\displaystyle {\bar {t}}_{\text{п.загр.}}={\frac {1}{n\mu }},{\bar {t}}_{\text{н.загр.}}={\bar {t}}_{\text{п.загр.}}\cdot {\frac {p_{\text{н.загр.}}}{p_{\text{п.загр.}}}}={\frac {\sum \limits _{i=0}^{n-1}{\frac {\rho ^{i}}{i!}}}{n\mu {\frac {\rho ^{n}}{n!}}}}={\frac {1-{\frac {\rho ^{n}}{n!}}p_{0}}{n\mu {\frac {\rho ^{n}}{n!}}p_{0}}}={\frac {1-p_{n}}{n\mu p_{n}}},{\bar {t}}_{\text{н.очер.}}=0,}
t
¯
1зан.
=
t
¯
μ
=
1
μ
,
t
¯
1прост.
=
t
¯
1зан.
⋅
p
1прост.
p
1зан.
=
n
−
k
¯
μ
k
¯
=
1
−
χ
(
1
−
p
n
)
μ
χ
(
1
−
p
n
)
,
{\displaystyle {\bar {t}}_{\text{1зан.}}={\bar {t}}_{\mu }={\frac {1}{\mu }},{\bar {t}}_{\text{1прост.}}={\bar {t}}_{\text{1зан.}}\cdot {\frac {p_{\text{1прост.}}}{p_{\text{1зан.}}}}={\frac {n-{\bar {k}}}{\mu {\bar {k}}}}={\frac {1-\chi (1-p_{n})}{\mu \chi (1-p_{n})}},}
t
¯
прост.
=
t
¯
λ
=
1
λ
,
t
¯
обсл.
=
t
¯
λ
⋅
s
¯
=
s
¯
λ
,
t
¯
очер.
=
0
,
t
¯
сист.
=
t
¯
λ
⋅
l
¯
=
l
¯
λ
.
{\displaystyle {\bar {t}}_{\text{прост.}}={\bar {t}}_{\lambda }={\frac {1}{\lambda }},{\bar {t}}_{\text{обсл.}}={\bar {t}}_{\lambda }\cdot {\bar {s}}={\frac {\bar {s}}{\lambda }},{\bar {t}}_{\text{очер.}}=0,{\bar {t}}_{\text{сист.}}={\bar {t}}_{\lambda }\cdot {\bar {l}}={\frac {\bar {l}}{\lambda }}.}
Овчаров Л. А. Прикладные задачи теории массового обслуживания — М: «Машиностроение», 1969.