СМО с взаимопомощью — система массового обслуживания, в которой всегда есть взаимопомощь между каналами обслуживания: если заявка приходит, в момент, когда все каналы свободны, то она немедленно обслуживается всеми каналами, если заявка приходит — когда уже обслуживаются заявки числом меньше, чем число каналов, то она немедленно обслуживается частью каналов, иначе если заявка приходит — когда уже обслуживаются заявки числом меньше, чем число каналов и число мест в очереди, то она становится в очередь, в остальных случаях заявка покидает систему (теряется).
Описание модели[править]
На вход n-канальной СМО с m-очередью поступает простейший поток заявок с интенсивностью λ. Интенсивность простейшего потока обслуживания каждого канала μ.
Интенсивность потока обслуживания с взаимопомощью между каналами всегда равна nμ.
Если заявка застаёт все каналы свободными, она принимается на обслуживание и обслуживается всеми n-каналами одновременно, при этом производительность увеличивается в n-раз.
После окончания обслуживания все каналы освобождаются одновременно.
Если вновь прибывшая заявка застаёт в системе одну заявку, то она принимается на обслуживание: часть каналов обслуживает первую заявку, часть приступает к обслуживанию второй заявки. Разделение каналов совершенно произвольное.
Если система обслуживает k-заявок (k=1,n-1), то вновь прибывшая заявка принимается на обслуживание и все (k+1)-заявок обслуживаются n-каналами, распределёнными произвольно между заявками, но так, что все каналы заняты обслуживанием.
Попавшая на обслуживание заявка обслуживается до конца (заявки терпеливые).
Если обслуживание какой-либо заявки окончено, то освободившаяся группа каналов присоединяется к обслуживанию остальных заявок, находящихся в системе. Таким образом, при наличии в системе хотя бы одной заявки все n-каналов всё время будут заняты.
Если система обслуживает n-заявок (k=n), то каждая из них обслуживается одним каналом, а вновь прибывшая заявка встаёт в очередь и ожидает освобождения хотя бы одного из каналов.
Если в системе имеется (n+r)-заявок (r=1,m-1), то n-заявок из них обслуживаются и r-заявок ожидают в очереди, а вновь прибывшая заявка становится в очередь. Максимальное число мест в очереди m.
Если вновь прибывшая заявка застаёт в очереди m-заявок, то она получает отказ и исключается из обслуживания.
Состояние рассмотренной системы будем связывать с числом заявок, находящихся в системе.
Граф состояний[править]
Рассмотрим множество состояний системы:
S0 — в системе нет ни одной заявки, все каналы свободны;
S1 — в системе имеется одна заявка, она обслуживается всеми n-каналами;
S2 — в системе имеется две заявки, они обслуживается n-каналами;
…;
Sk — в системе имеется k-заявок, они обслуживаются n-каналами;
…;
Sn — в системе имеется n-заявок, они обслуживаются n-каналами, очереди нет;
Sn+1 — в системе имеется (n+1)-заявок, n из них обслуживаются n-каналами, а одна заявка ожидает в очереди;
…;
Sn+r — в системе имеется (n+r)-заявок, n из них обслуживаются n-каналами, а r-заявок ожидают в очереди;
…;
Sn+m — в системе имеется (n+m)-заявок, n из них обслуживаются n-каналами, а m-заявок ожидают в очереди;
Система дифференциальных уравнений[править]
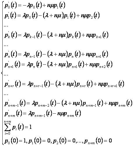
Система дифференциальных уравнений, описывающих поведение системы, имеет вид:

При стационарном режиме работы системы (при t→∞).
Система уравнений принимает вид:
Невозможно разобрать выражение (SVG с запасным PNG (MathML можно включить с помощью плагина для браузера): Недопустимый ответ («Math extension cannot connect to Restbase.») от сервера «https://wikimedia.org/api/rest_v1/»:): {\displaystyle \Leftrightarrow}

Суммируя в системе уравнения с первого до i-го (i=1,n+m), получаем упрощённый вид системы.
Решим систему относительно p0,p1,…,pn+m.


Невозможно разобрать выражение (SVG с запасным PNG (MathML можно включить с помощью плагина для браузера): Недопустимый ответ («Math extension cannot connect to Restbase.») от сервера «https://wikimedia.org/api/rest_v1/»:): {\displaystyle \Leftrightarrow}

В результате получаем решение системы:
Основные характеристики системы[править]








При χ≠1 получаем




- Невозможно разобрать выражение (SVG с запасным PNG (MathML можно включить с помощью плагина для браузера): Недопустимый ответ («Math extension cannot connect to Restbase.») от сервера «https://wikimedia.org/api/rest_v1/»:): {\displaystyle \bar t_\text{прост.}=\frac{1}{\lambda},\bar t_\text{обсл.}=\frac{1-(n+1)\chi^n+n\chi^{n+1}}{n\mu\left(1-\chi\right)\left(1-\chi^{n+m+1}\right)}+\frac{\chi^n\left(1-\chi^m\right)}{\mu\left(1-\chi^{n+m+1}\right)},\bar t_\text{очер.}=\frac{1-(m+1)\chi^m+m\chi^{m+1}}{n\mu\left(1-\chi\right)\left(1-\chi^{n+m+1}\right)},\bar t_\text{сист.}=\frac{1-(n+m+1)\chi^{n+m}+(n+m)\chi^{n+m+1}}{n\mu\left(1-\chi\right)\left(1-\chi^{n+m+1}\right)}.}
При χ=1 получаем
- Невозможно разобрать выражение (SVG с запасным PNG (MathML можно включить с помощью плагина для браузера): Недопустимый ответ («Math extension cannot connect to Restbase.») от сервера «https://wikimedia.org/api/rest_v1/»:): {\displaystyle \chi=1\Leftrightarrow \lambda=n\mu\Leftrightarrow\rho=n,}




- Овчаров Л. А. Прикладные задачи теории массового обслуживания, «Машиностроение», М.,1969.