Интерполяция каноническим многочленом
Перейти к навигации
Перейти к поиску
Интерполяция каноническим многочленом — это определение коэффициентов многочлена n-ой степени, проходящего через заданные (n + 1)-у точку. Значения в точке определяются по формуле многочлена.
Формула[править]
Заметим что канонический многочлен это многочлен n-ой степени, как и формула Лагранжа. В случае когда необходимо многократное вычисление многочлена n-ой степени в различных точках, предпочтительнее использование формулы канонического многочлена.
Примеры формулы[править]
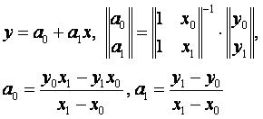
Линейная интерполяция (n=1)[править]
Квадратическая интерполяция (n=2)[править]
Кубическая интерполяция (n=3)[править]
Другие формулы:[править]
- Линейная интерполяция;
- Интерполяция каноническим многочленом;
- Интерполяционная формула Бесселя;
- Интерполяционная формула Бесселя на середину;
- Интерполяционная формула Гаусса вперёд (первая формула);
- Интерполяционная формула Гаусса назад (вторая формула);
- Интерполяционная формула Лагранжа;
- Интерполяционная формула Ньютона вперёд (первая формула);
- Интерполяционная формула Ньютона назад (вторая формула);
- Интерполяционная формула Стирлинга.
Литература[править]
- Демидович Б. П., Марон И. А. Основы вычислительной математики. М.: Наука, 1970.