Метод математической индукции для транснеравенства одномонотонных последовательностей
Перейти к навигации
Перейти к поиску
Доказательство методом математической индукции транснеравенства одномонотонных последовательностей использует индукцию вверх от n к n+1.
Обозначения[править]
- n – число элементов последовательности, n>1;
- ai – i-ое число первой последовательности;
- bi – i-ое число второй последовательности;
- ji – i-ый индекс перестановки n индексов;
- {j1, j2, ..., jn} – перестановка n индексов;
- {j1, j2, ..., jn+1} – перестановка n+1 индексов;
- Pn – множество перестановок n индексов;
- Pn+1 – – множество перестановок n+1 индексов.
Формула неравенства[править]
Доказательство[править]
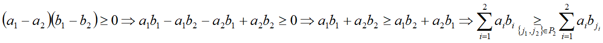
1.Докажем неравенство при k=2.
т.е. неравенство верно при k=2.
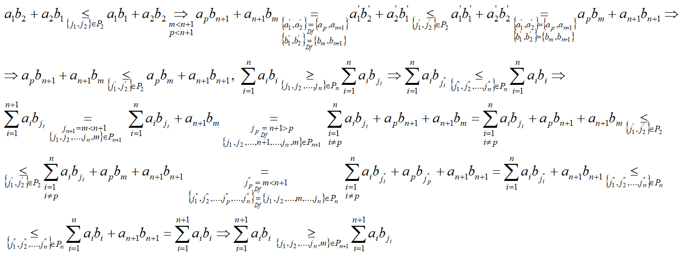
2.Доказательство индукцией вверх. Предполагаем, что неравенство верно для k=n и k=2, и доказываем неравенство для k=n+1.
а) Рассмотрим перестановку .
б) Рассмотрим перестановку .
т.е. неравенство верно при k=n+1, ч.т.д.
Другие доказательства:[править]
- весовое неравенство для неравенства Чебышёва для одномонотонных последовательностей;
- весовое неравенство для неравенства Чебышёва для разномонотонных последовательностей;
- неравенство произведения единиц с отношениями квадратов чисел к соседним;
- неравенство произведения единиц с произведениями соседних чисел;
- неравенство суммы квадратов убывающих дробей;
- неравенство четырёх средних;
- неравенство p-ичных средних для неравенства суммы обратных единиц с числом;
- неравенство p-ичных средних для неравенства суммы обратных чисел;
- неравенство p-ичных средних для неравенства суммы отношений дробей к корню из их дополнений до единицы;
- неравенство Йенсена для неравенства Коши;
- неравенство Коши для неравенства произведения отношений чисел к квадратам накопительных сумм единицы и этих чисел;
- неравенство Коши-Буняковского для неравенства треугольника в n-мерном пространстве;
- неравенство Коши-Буняковского для неравенства чисел двух последовательностей;
- неравенство Коши-Буняковского для неравенства чисел трёх последовательностей;
- неравенство Коши-Буняковского для транснеравенства суммы квадратов чисел;
- неравенство средневзвешенных для неравенства Коши;
- неравенство Чебышёва для неравенства произведения суммы косинусов и суммы тангенсов;
- неравенство чисел трёх последовательностей для неравенства чисел двух последовательностей;
- обобщённое неравенство для весового неравенства Чебышёва для одномонотонных последовательностей;
- обобщённое неравенство для весового неравенства Чебышёва для разномонотонных последовательностей;
- обобщённое неравенство для неравенства Чебышёва для одномонотонных последовательностей;
- обобщённое неравенство для неравенства Чебышёва для разномонотонных последовательностей;
- транснеравенство для неравенства суммы отношений чисел к сумме остальных чисел;
- транснеравенство для неравенства Чебышёва для одномонотонных последовательностей;
- транснеравенство для неравенства Чебышёва для разномонотонных последовательностей;
- транснеравенство для транснеравенства суммы квадратов чисел;
- доказательство Бора неравенства Коши;
- ММИ для неравенства Гюйгенса;
- ММИ для неравенства Коробова;
- ММИ для неравенства Коши;
- ММИ для неравенства Коши-Буняковского;
- ММИ для неравенства произведения единиц с дробями;
- ММИ для неравенства средневзвешенных;
- ММИ для неравенства суммы кубов возрастающих чисел;
- ММИ для неравенства Фань Цзы;
- ММИ для обобщённого неравенства Чебышёва для одномонотонных последовательностей;
- ММИ для обобщённого неравенства Чебышёва для разномонотонных последовательностей;
- ММИ для транснеравенства одномонотонных последовательностей;
- ММИ для транснеравенства разномонотонных последовательностей;
- ММИ Якобсталя для неравенства Коши;
- МШ для неравенства произведения единиц с обратными дробями с единичной суммой;
- МШ для неравенства суммы обратных единиц с дробями;
- МШ для неравенства суммы обратных единиц с дробями с единичной суммой;
- МШ для неравенства суммы обратных единиц с числом;
- МШ для неравенства произведения превышений обратных квадратов дробей над единицей;
- МШ для неравенства произведения отношений единицы с дробью к единице без дроби;
- МШ для неравенства суммы квадратов дробей с единичной суммой;
- МШ для неравенства Гюйгенса;
- МШ для неравенства Коши.
Литература[править]
- Арбит А. В. Неравенства и основные способы их доказательства. Ч.1. М.: МЦНМО, 2016, стр.52-54, 168 с.



