Метод Штурма для неравенства произведения превышений обратных квадратов дробей над единицей
Перейти к навигации
Перейти к поиску
Доказательство методом Штурма неравенства произведения превышений обратных квадратов дробей над единицей использует метод Штурма с сохранением суммы.
Обозначения[править]
- n – число дробей, n>1;
- xi – i-ая положительная дробь, 0<xi<1;
- x1+ x1+…+ xn – сумма дробей равна 1;
- – это превышение обратного квадрата i-ой дроби над 1;
- n2-1 – это превышение квадрата n над 1.
Определения[править]
Если для пар неотрицательных чисел выполняются условия и , то переход от пары к паре называется сдвиганием чисел с сохранением суммы.
Если для пар неотрицательных чисел выполняются условия и , то переход от пары к паре называется раздвиганием чисел с сохранением суммы.
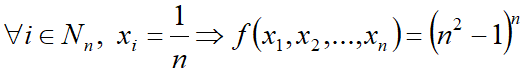
Формула неравенства[править]
Доказательство[править]
- Рассмотрим случаи.
- 1.
и исходное неравенство превращается в равенство, т.е. верно. - 2.
. - Так как в противном случае все числа не меньше , а хотя бы одно больше , что противоречит равенству x1+x2+…+xn=1.
- Далее следует, что
. - Так как в противном случае все числа не больше , а число xi<1/n, что противоречит равенству x1+x2+…+xn=1.
- Итак имеем:
. - Поскольку исходное неравенство симметрично и все переменные в нём равноправны, то без ограничения общности мы можем считать, что этими переменными являются xk и xk+1, причём xk<<xk+1, а все x1, x2, …, xk-1 и только они равны (может оказаться, что таких переменных нет, тогда полагаем k=1). По теореме о существовании второго числа-слагаемого на интервале, сохраняющего сумму концов интервала имеем
- Положим x'k=. Сдвинем теперь числа xk, xk+1 с сохранением их суммы так, чтобы они перешли в числа x'k, x"k+1, тогда по теореме о сдвигании чисел при сохранении суммы имеем увеличение произведения:
- Сумма всех переменных из нового набора также равна 1, причём в новом наборе число будет встречаться по меньшей мере на один раз больше, чем в старом. Таким образом, последовательно сдвигая пары переменных описанным выше способом до тех пор, пока все они не станут равны , мы получим цепочку неравенств:
- Неравенство доказано, ч.т.д.
Другие доказательства:[править]
- весовое неравенство для неравенства Чебышёва для одномонотонных последовательностей;
- весовое неравенство для неравенства Чебышёва для разномонотонных последовательностей;
- неравенство произведения единиц с отношениями квадратов чисел к соседним;
- неравенство произведения единиц с произведениями соседних чисел;
- неравенство суммы квадратов убывающих дробей;
- неравенство четырёх средних;
- неравенство p-ичных средних для неравенства суммы обратных единиц с числом;
- неравенство p-ичных средних для неравенства суммы обратных чисел;
- неравенство p-ичных средних для неравенства суммы отношений дробей к корню из их дополнений до единицы;
- неравенство Йенсена для неравенства Коши;
- неравенство Коши для неравенства произведения отношений чисел к квадратам накопительных сумм единицы и этих чисел;
- неравенство Коши-Буняковского для неравенства треугольника в n-мерном пространстве;
- неравенство Коши-Буняковского для неравенства чисел двух последовательностей;
- неравенство Коши-Буняковского для неравенства чисел трёх последовательностей;
- неравенство Коши-Буняковского для транснеравенства суммы квадратов чисел;
- неравенство средневзвешенных для неравенства Коши;
- неравенство Чебышёва для неравенства произведения суммы косинусов и суммы тангенсов;
- неравенство чисел трёх последовательностей для неравенства чисел двух последовательностей;
- обобщённое неравенство для весового неравенства Чебышёва для одномонотонных последовательностей;
- обобщённое неравенство для весового неравенства Чебышёва для разномонотонных последовательностей;
- обобщённое неравенство для неравенства Чебышёва для одномонотонных последовательностей;
- обобщённое неравенство для неравенства Чебышёва для разномонотонных последовательностей;
- транснеравенство для неравенства суммы отношений чисел к сумме остальных чисел;
- транснеравенство для неравенства Чебышёва для одномонотонных последовательностей;
- транснеравенство для неравенства Чебышёва для разномонотонных последовательностей;
- транснеравенство для транснеравенства суммы квадратов чисел;
- доказательство Бора неравенства Коши;
- ММИ для неравенства Гюйгенса;
- ММИ для неравенства Коробова;
- ММИ для неравенства Коши;
- ММИ для неравенства Коши-Буняковского;
- ММИ для неравенства произведения единиц с дробями;
- ММИ для неравенства средневзвешенных;
- ММИ для неравенства суммы кубов возрастающих чисел;
- ММИ для неравенства Фань Цзы;
- ММИ для обобщённого неравенства Чебышёва для одномонотонных последовательностей;
- ММИ для обобщённого неравенства Чебышёва для разномонотонных последовательностей;
- ММИ для транснеравенства одномонотонных последовательностей;
- ММИ для транснеравенства разномонотонных последовательностей;
- ММИ Якобсталя для неравенства Коши;
- МШ для неравенства произведения единиц с обратными дробями с единичной суммой;
- МШ для неравенства суммы обратных единиц с дробями;
- МШ для неравенства суммы обратных единиц с дробями с единичной суммой;
- МШ для неравенства суммы обратных единиц с числом;
- МШ для неравенства произведения превышений обратных квадратов дробей над единицей;
- МШ для неравенства произведения отношений единицы с дробью к единице без дроби;
- МШ для неравенства суммы квадратов дробей с единичной суммой;
- МШ для неравенства Гюйгенса;
- МШ для неравенства Коши.
Литература[править]
- Арбит А. В. Неравенства и основные способы их доказательства. Ч.1. М.: МЦНМО, 2016, стр.63-64, 168 с.




