Модели ЗЛП
(перенаправлено с «Модели ЗЛП»)
Перейти к навигации
Перейти к поиску
| Файл:QSicon Formatierung Grey.svg | Это служебный список статей, созданный для координации работ по развитию темы. |
Mодели ЗЛП — это математические модели задач линейного программирования.
Задачи линейного программирования[править]
Каноническая задача[править]
Производственная задача[править]
Общая прямая задача[править]
Общая двойственная задача[править]
Классическая транспортная задача[править]
Задача о назначениях[править]
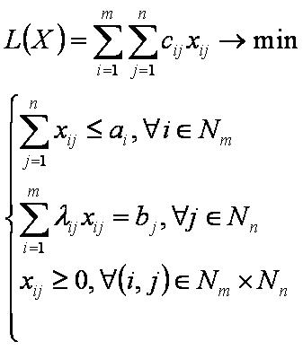
Распределительная задача[править]
Трёхиндексная транспортная задача[править]
Другие модели[править]
Литература[править]
- Юдин Д. Б., Гольштейн Е. Г. Линейное программирование — М.,1963.