Модели СМО

Материал из Циклопедии
(перенаправлено с «Модели СМО»)
Перейти к навигации Перейти к поиску

Mодели СМО — это математические модели систем массового обслуживания.

Системы массового обслуживания:[править]

СМО02.JPG

СМО с отказами[править]

СМО12.JPG

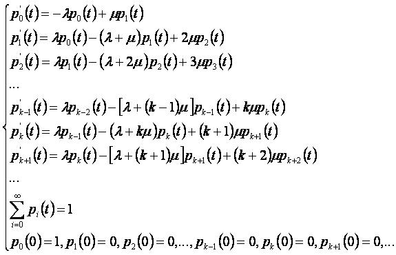
СМО с очередью[править]

СМО22.JPG

СМО с ограниченным временем ожидания[править]

СМО32.JPG

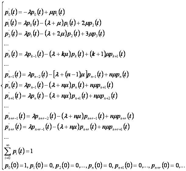
СМО замкнутая с очередью[править]

СМО42.PNG

СМО с взаимопомощью с очередью[править]

СМО52.JPG

СМО с отказами и взаимопомощью[править]

СМО62.JPG

СМО с бесконечным числом каналов[править]

СМО72.JPG

СМО с бесконечной очередью[править]

СМО82.JPG

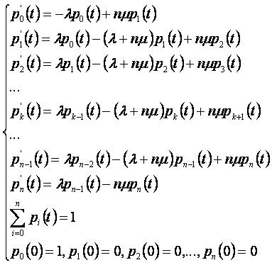
СМО замкнутая без очереди[править]

СМО92.JPG

Другие модели[править]

Литература[править]

  • Овчаров Л. А. Прикладные задачи теории массового обслуживания — М.: «Машиностроение», 1969.

Ссылки[править]