Ряд Фурье

Материал из Циклопедии
Перейти к навигации Перейти к поиску
13.1. Что такое ряд Фурье? // N Eliseeva [10:22]
Ряды Фурье // Vasiliy Tereshkov [44:19]

Ряд Фурье — это тригонометрический ряд (являющийся разложением функции f(x) на интервале [-l; l]), в котором слагаемыми служат функции ancos(cnx) и bnsin(cnx), а коэффициенты an, bn, cn = πn/l — это числа.

  • Периодическая функция f(x) имеет дискретный спектр, т.е. она может быть представлена в виде отдельных гармоник с частотами πn/l.

Формулы[править]

Разложение функции f(x) на интервале [-l; l]:

, где , .

Разложение функции f(x) на интервале [−π; π]:

, где , .

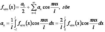
Разложение чётной функции fчёт(x) на интервале [-l; l]:

ФУР03.JPG

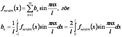
Разложение нечётной функции fнечёт(x) на интервале [-l; l]:

ФУР04.JPG

Разложение чётной функции fчёт(x) на интервале [-π; π]:

ФУР05.PNG

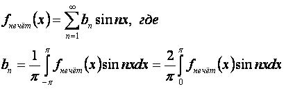
Разложение нечётной функции fнечёт(x) на интервале [-π; π]:

ФУР06.JPG

Разложение функции f(x) по косинусам на интервале [0; l]:

ФУР07.JPG

Разложение функции f(x) по синусам на интервале [0; l]:

ФУР08.JPG

Разложение функции f(x) по косинусам на интервале [0; π]:

ФУР09.JPG

Разложение функции f(x) по синусам на интервале [0; π]:

ФУР10.JPG

Пример[править]

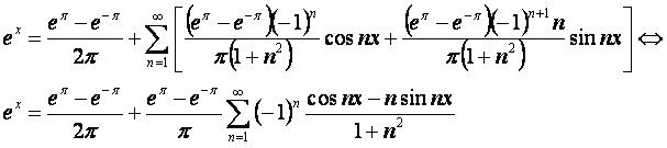
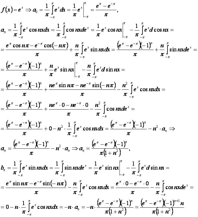
Разложение функции f(x)=ex на интервале [-π, π].

Сначала находим коэффициенты:
ФУР11.JPG

Окончательно, получаем разложение Фурье:
ФУР12.JPG

Другие ряды:[править]


См. также[править]

Литература[править]

  • Бермант А. Ф., Араманович И. Г. Краткий курс математического анализа для втузов — М.: Наука, 1973.

Ссылки[править]