Классическая транспортная задача
Классическая транспортная задача — это транспортная задача оптимизации перевозок в классической постановке.
Постановка задачи[править]
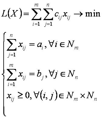
Пусть имеется m поставщиков (A1, A2, …, Am) и n потребителей (B1, B2, …, Bn) однородного продукта. Пусть заданы объёмы поставок ai продукта поставщиком Ai и объёмы потребностей bj в продукте у потребителя Bj. Пусть известны транспортные расходы cij на перевозку единицы продукта от поставщика Ai к потребителю Bj и необходимо определить план перевозок с минимальной суммой транспортных расходов, тогда классическая транспортная задача (ТЗ) формулируется следующим образом:
- Невозможно разобрать выражение (Ошибка преобразования. Сервер («https://wikimedia.org/api/rest_») сообщил: «Cannot get mml. Server problem.»): {\displaystyle {\begin{cases}\sum \limits _{j=1}^{n}x_{ij}=a_{i},\ \forall i\in N_{m}\\\sum \limits _{i=1}^{m}x_{ij}=b_{j},\ \forall j\in N_{n}\\x_{ij}\geq 0,\forall (i,j)\in N_{m}\times N_{n}\end{cases}}}
где xij — объём перевозок продукта от поставщика Ai к потребителю Bj.
Транспортную задачу можно представить в виде таблицы
Условия разрешимости[править]
Для разрешимости задачи необходимо выполнение условий баланса:
то есть необходимо, чтобы объём поставок продукта равнялся объёму потребностей в нём.
Метод решения[править]
Необходимо найти начальное опорное решение, например, методом северо-западного угла.
Затем транспортная задача решается методом потенциалов.
Метод северо-западного угла[править]
Метод северо-западного угла для нахождения допустимого решения транспортной задачи состоит в последовательном назначении перевозок для клеток транспортной таблицы, находящихся в верхних (северных) строках и в левых (западных) столбцах.
1.Удовлетворяем потребности потребителей (bj>0) за счёт поставщиков (ai>0), то есть назначаем соответствующие перевозки по формулам: xij=min(ai, bj), ai=ai-xij, bj=bj-xij.
2.Процесс заполнения клеток (распределения перевозок) для ТЗ продолжается до тех пор пока у поставщиков имеются нераспределённые остатки и у потребителей имеются неудовлетворённые потребности.
Метод потенциалов[править]
1.Берём решение Xmxn и базис Zmxn, найденные, например, с помощью алгоритма северо-западного угла.
2.Определяем значение целевой функции L=ΣΣcijxij и базис опорного решения Bo={(i, j)|zij=1}.
3.Определяем оценку Δo и элемент (io,jo) с помощью алгоритма расчёта потенциалов.
4.Проверяем решение на оптимальность. Если Δo=0, то решение Xmxn — оптимальное и конец работы.
5.Определяем оценку Δx, элемент (ix,jx) и новое опорное решение Xmxn с помощью алгоритма перераспределения перевозок.
6.Определяем новое значение целевой функции L=L-ΔoΔx и новый базис Bo=Bo\(ix,jx)U(io,jo). Переходим к пункту 3.
Другие задачи:[править]
- Транспортная задача;
- Распределительная задача;
- Задача о назначениях;
- Транспортная задача с промежуточными пунктами;
- Транспортная задача с промежуточными пунктами с запретами;
- Транспортная задача с промежуточными пунктами и ограничением по транзиту;
- Открытая транспортная задача с промежуточными пунктами;
- Открытая транспортная задача с промежуточными пунктами 1;
- Открытая транспортная задача с промежуточными пунктами 2;
- Открытая транспортная задача с промежуточными пунктами 3;
- Открытая транспортная задача с промежуточными пунктами 4;
- Трёхиндексная транспортная задача;
- Трёхиндексная транспортная задача с аксиальными суммами;
- Трёхиндексная транспортная задача с промежуточными пунктами.
Литература[править]
- Гольштейн Е. Г., Юдин Д. Б. Задачи линейного программирования транспортного типа, М.,1969.
