Транспортная задача с промежуточными пунктами в примерах
Перейти к навигации
Перейти к поиску
Пример 1[править]
Транспортная таблица[править]
Допустимое решение[править]
Решение методом потенциалов[править]
Пример 2[править]
Транспортная таблица[править]
Допустимое решение[править]
Решение методом потенциалов[править]
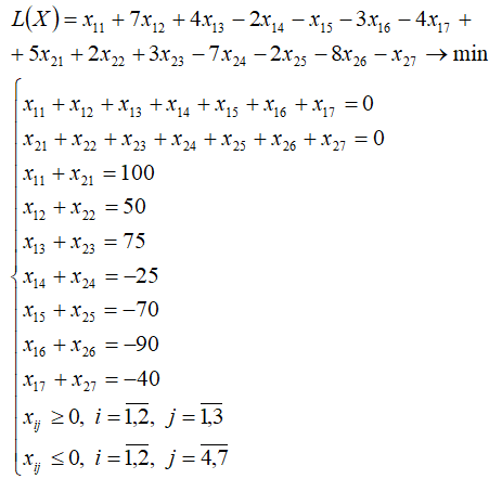
Пример 3[править]
Транспортная таблица[править]
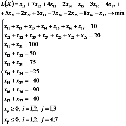
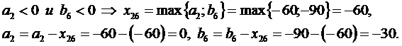
Нахождение допустимого решения[править]
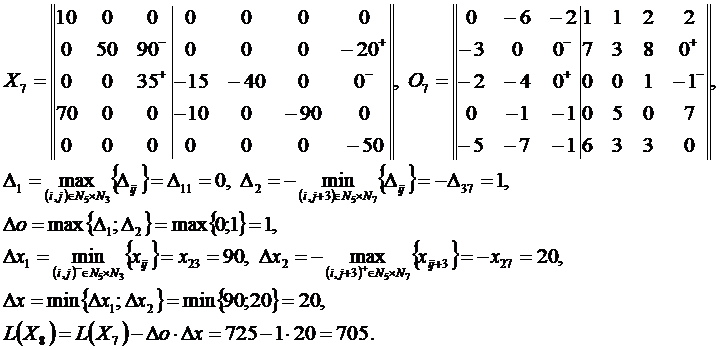
Решение методом потенциалов[править]
Другие задачи:[править]
- Транспортная задача;
- Распределительная задача;
- Задача о назначениях;
- Транспортная задача с промежуточными пунктами;
- Транспортная задача с промежуточными пунктами с запретами;
- Транспортная задача с промежуточными пунктами и ограничением по транзиту;
- Открытая транспортная задача с промежуточными пунктами;
- Открытая транспортная задача с промежуточными пунктами 1;
- Открытая транспортная задача с промежуточными пунктами 2;
- Открытая транспортная задача с промежуточными пунктами 3;
- Открытая транспортная задача с промежуточными пунктами 4;
- Трёхиндексная транспортная задача;
- Трёхиндексная транспортная задача с аксиальными суммами;
- Трёхиндексная транспортная задача с промежуточными пунктами.































































