Задача о рюкзаке

Материал из Циклопедии
Перейти к навигации Перейти к поиску
Математическая модель задачи о рюкзаке
Информатика. Алгоритм "укладки рюкзака" // Центр онлайн-обучения «Фоксфорд» [11:46]

Задача о рюкзаке — это задача целочисленного программирования о загрузке заданного объёма (веса) предметами наибольшей стоимости (полезности).

Постановка задачи[править]

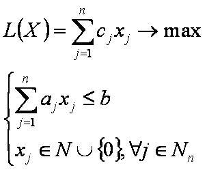
Имеется n видов предметов (грузов) и рюкзак ёмкостью (грузовместимостью, грузоподъёмностью) b. Пусть заданы объём (вес) aj и стоимость (полезность) cj для j-ого предмета, j=1,2,…,n. Необходимо определить вариант загрузки с максимальной стоимостью.

Задача о рюкзаке (ЗР) формулируется следующим образом:

или

где xj — количество предметов j-го вида, j=1,2,…,n.

Задача о рюкзаке относится к целочисленному программированию. Для решения задачи о рюкзаке применяется метод динамического программирования.

Алгоритм решения[править]

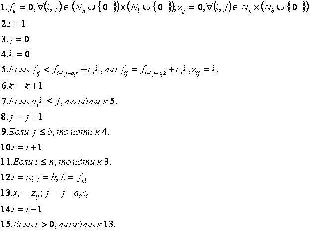
Входные данные: n; b; {a1,a2,...,an}; {c1,c2,...,cn}.

ЗР11.JPG

Выходные данные: L; {x1,x2,...,xn}.

Задача о рюкзаке без повторений[править]

При дополнительном ограничении — запрете повторений предметов — получаем задачу о рюкзаке без повторений, которая формулируется следующим образом:

или

где xj — означает выбор предмета j-го вида, j=1,2,…,n.

При этом алгоритм решения модифицируется в части строки 7, она меняется на строку вида:

ЗР23.JPG

Задача о рюкзаке с ограниченным числом повторений[править]

При дополнительном ограничении на число повторений предметов получаем задачу о рюкзаке с ограниченным числом повторений, которая формулируется следующим образом:

или

где xj — количество предметов j-го вида, j=1,2,…,n;

mj — число возможных повторений предметов j-го вида, j=1,2,…,n.

При этом алгоритм решения модифицируется в части строки 7, она меняется на строку вида:

ЗР33.JPG

Входными данными являются: n; b; {a1,a2,...,an}; {c1,c2,...,cn}; {m1,m2,...,mn}.

Другие задачи:[править]


Ссылки[править]