Каноническая задача — это основная задача линейного программирования канонического вида, т.е. задача с ограничениями в форме равенств.
Математическая модель[править]
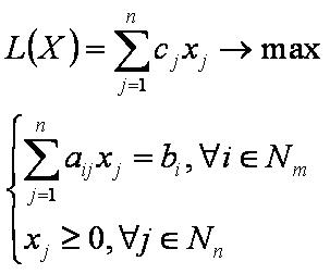
Математическая модель канонической задачи имеет следующий вид:


или


Метод решения[править]
Каноническая задача решается М-методом, также для решения может применяться метод искусственного базиса и симплекс-метод.
- Юдин Д. Б., Гольштейн Е. Г. Линейное программирование — М.,1963.