Симплекс-метод

Материал из Циклопедии
Перейти к навигации Перейти к поиску
Лекция 2 Симплекс-метод // Marina Kuzminova [1:33:59]

Симплекс-метод — метод для решения задач линейного программирования канонического вида, т.е. задач с ограничениями в форме равенств.

Описание метода[править]

Суть симплекс-метода состоит в переходе от одной угловой точки (одного базиса) многогранника допустимых решений к другой (другому базису) с целью оптимизации целевой функции. При этом симплекс-таблица в каждом базисе новая. Целевая функция соответствует гиперплоскости (в заданном базисе), которая проходит через угловую точку. Оценки оптимальности соответствуют отклонениям относительно гиперплоскости. Когда все оценки оптимальности положительны, тогда целевая функция достигает максимума, когда все оценки оптимальности отрицательны, тогда целевая функция достигает минимума.

Каноническая задача[править]

Математическая модель канонической задачи имеет следующий вид:

или

В каждой угловой точке многогранника допустимых решений число базисных элементов совпадает с числом (независимых) уравнений. Симплекс-таблица для базисных элементов имеет единичные вектор-столбцы.

Расширенная матрица[править]

Для построения симплекс-таблицы, необходимо выбрать базисные элементы, построить из базисных вектор-столбцов матрицы коэффициентов A базисную матрицу B. Затем рассчитать матрицу коэффициентов A’ по формулам и построить расширенную матрицу.

СМ03.PNG.

Расширенная матрица исходной симплекс-таблицы имеет вид:

СМ04.JPG

Симплекс-таблица[править]

Исходная симплекс-таблица имеет вид:

СМ041.JPG

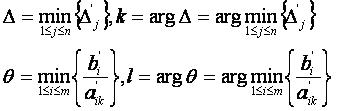
Формулы выбора переменных для ввода в базис и для вывода из базиса

СМ05.PNG

В случае когда Δ=0, опорное решение X - оптимальное и завершение итераций, иначе строится новая симплекс-таблица с новым опорным решением.

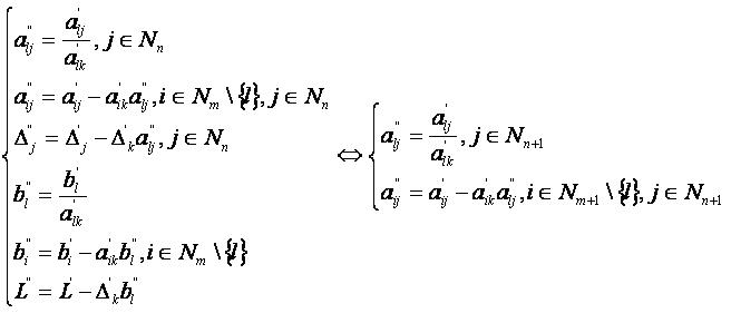
Формулы перехода к новой симплекс-таблице имеют вид:

СМ06.JPG

Расширенная матрица новой симплекс-таблицы имеет вид:

СМ07.JPG

Новая симплекс-таблица имеет вид:

СМ071.JPG

Далее переходят к выбору новых переменных для ввода в базис и для вывода из базиса.

  • Заметим, что при решении задачи максимизации при выборе новой переменной выбирают минимальную оценку Δj, чтобы избавиться от всех отрицательных оценок Δj. При решении задачи минимизации при выборе новой переменной надо выбирать максимальную оценку Δj, чтобы избавиться от всех положительных оценок Δj. Оценки Δj называются критериями оптимальности.

Другие методы:[править]

Литература[править]

  • Юдин Д. Б., Гольштейн Е. Г. Линейное программирование — М.,1963.

Ссылки[править]

 
Одномерные

Метод золотого сеченияДихотомияМетод параболПеребор по сеткеМетод равномерного блочного поискаМетод ФибоначчиТроичный поискМетод Пиявского

Прямые методы

Метод ГауссаМетод Нелдера — МидаМетод сопряжённых направленийМетод Хука — ДживсаМетод конфигурацийМетод Розенброка

Первого порядка

Градиентный спускМетод ЗойтендейкаПокоординатный спускМетод сопряжённых градиентовКвазиньютоновские методыАлгоритм Левенберга — Марквардта

Второго порядка

Метод НьютонаМетод Ньютона — РафсонаАлгоритм Бройдена — Флетчера — Гольдфарба — Шанно (BFGS)

Стохастические

Метод Монте-КарлоИмитация отжигаЭволюционные алгоритмыДифференциальная эволюцияМуравьиный алгоритмМетод роя частиц

Методы линейного
программирования

Симплекс-методАлгоритм ГомориМетод эллипсоидовМетод потенциалов

Методы нелинейного
программирования

Последовательное квадратичное программирование