Неравенство суммы обратных n натуральных чисел, начиная с числа n+1
Перейти к навигации
Перейти к поиску
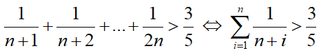
Неравенство суммы обратных n натуральных чисел, начиная с числа n+1 — неравенство для натуральных чисел, гласящее, что сумма обратных n натуральных чисел, начиная с числа n+1, больше трёх пятых.
Обозначения[править]
- n – число натуральных чисел, n>2;
- i – натуральное число;
- – обратное i-ое натуральное число.
Формула неравенства[править]
Доказательство[править]
Другие неравенства:[править]
- неравенство n-степени числа;
- неравенство n-факториала и среднего арифметического;
- неравенство n-факториала и среднего квадратического;
- неравенство n-факториала и среднего кубического;
- неравенство n-факториала и n-степени двух;
- неравенство r-степени числа;
- неравенство Бернулли;
- неравенство произведения n факториалов чётных чисел;
- неравенство произведения единицы со степенью числа и степени единицы с числом;
- неравенство произведения отношений нечётных к чётным натуральным числам;
- неравенство произведения n-факториала и двойного факториала нечётного числа;
- неравенство степеней n и n+1 для чисел;
- неравенство степеней n и n+1 для единиц с обратными числами;
- неравенство суммы n-степеней единицы без дроби и единицы с дробью;
- неравенство суммы обратных квадратов n натуральных чисел;
- неравенство суммы обратных корней n натуральных чисел со знаком больше;
- неравенство суммы обратных корней n натуральных чисел со знаком меньше;
- неравенство суммы обратных n натуральных чисел, начиная с числа n+1;
- неравенство трёх квадратов;
- неравенство трёх кубов;
- неравенство трёх попарных отношений;
- неравенство факториала нечётного числа;
- неравенство факториала чётного числа;
- обобщённое неравенство Бернулли;
- неравенство Маркова;
- неравенство Чебышёва.
Литература[править]
- Арбит А. В. Неравенства и основные способы их доказательства. Ч.1. М.: МЦНМО, 2016, стр.35, 168 с.
