Неравенство Маркова
Перейти к навигации
Перейти к поиску
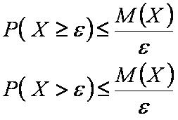
Неравенство Маркова — неравенство, гласящее: вероятность того, что непрерывная положительная случайная величина превысит некоторое положительное число, не более отношения её математического ожидания к заданному числу. Открыто А. А. Марковым (старшим), названо в честь него же.
Обозначения[править]
- X — непрерывная положительная случайная величина;
- M(X) — математическое ожидание положительной случайной величины X;
- ε — положительное число большее чем M(X).
Формула неравенства[править]
- Невозможно разобрать выражение (Ошибка преобразования. Сервер («https://wikimedia.org/api/rest_») сообщил: «Cannot get mml. Server problem.»): {\displaystyle P(X>\varepsilon )\leqslant {\frac {M(X)}{\varepsilon }}}
- Заметим, что вероятность равенства для непрерывной случайной величины равна нулю, поэтому строгое и нестрогое неравенства равнозначны.
Доказательство для НСВ[править]
Доказательство неравенства Маркова для непрерывной случайной величины
- Неравенство Маркова применимо для дискретной положительной случайной величины X в виде:
- Невозможно разобрать выражение (Ошибка преобразования. Сервер («https://wikimedia.org/api/rest_») сообщил: «Cannot get mml. Server problem.»): {\displaystyle P(X>\varepsilon )\leqslant {\frac {M(X)}{\varepsilon }}}
Доказательство для ДСВ[править]
Доказательство неравенства Маркова для дискретной случайной величины
Следствие[править]
- Следствие неравенства Маркова применимо для дискретной положительной случайной величины X только в виде:
Другие неравенства:[править]
- неравенство n-степени числа;
- неравенство n-факториала и среднего арифметического;
- неравенство n-факториала и среднего квадратического;
- неравенство n-факториала и среднего кубического;
- неравенство n-факториала и n-степени двух;
- неравенство r-степени числа;
- неравенство Бернулли;
- неравенство произведения единицы со степенью числа и степени единицы с числом;
- неравенство произведения отношений нечётных к чётным натуральным числам;
- неравенство степеней n и n+1 для чисел;
- неравенство степеней n и n+1 для единиц с обратными числами;
- неравенство суммы n-степеней единицы без дроби и единицы с дробью;
- неравенство суммы обратных квадратов n натуральных чисел;
- неравенство суммы обратных корней n натуральных чисел со знаком больше;
- неравенство суммы обратных корней n натуральных чисел со знаком меньше;
- неравенство суммы обратных n натуральных чисел, начиная с числа n+1;
- неравенство трёх квадратов;
- неравенство трёх кубов;
- неравенство трёх попарных отношений;
- неравенство факториала нечётного числа;
- неравенство факториала чётного числа;
- обобщённое неравенство Бернулли;
- неравенство Маркова;
- неравенство Чебышёва.
Литература[править]
- Кремер Н. Ш. Теория вероятностей и математическая статистика. М.: Юнити, 2004, стр.223-224.