Неравенство Коши
Перейти к навигации
Перейти к поиску
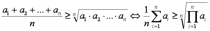
Неравенство Коши (неравенство о средних) — неравенство для действительных чисел, гласящее, что среднее арифметическое n положительных чисел не меньше их среднего геометрического.
Обозначения[править]
n — число чисел;
— i-ое положительное число;
— это число, равное
Формула неравенства[править]
- Равенство имеет место только в том случае, когда все a i равны между собой.
Доказательство[править]
1.Докажем неравенство при k=2.
т.е. неравенство верно при k=2.
2.Доказательство индукцией вверх.
Предполагаем, что неравенство верно для k=n, и доказываем неравенство для k=2n.
т.е. неравенство верно при k=2n.
3.Доказательство индукцией вниз.
Предполагаем, что неравенство верно для k=n, и доказываем неравенство для k=n-1.
т.е. неравенство верно при k=n-1, ч.т.д.
Следствия[править]
Другие неравенства:[править]
Ссылки[править]
- Беллман Р. Введение в теорию матриц. М.: Наука, 1976, стр.158.
- Участник:Logic-samara
