Площадь поверхности октаэдра

Материал из Циклопедии
(перенаправлено с «Площадь октаэдра»)
Перейти к навигации Перейти к поиску
Октаэдр
ПОКТ01.JPG

Площадь поверхности октаэдра — это число, характеризующее октаэдр в единицах измерения площади.

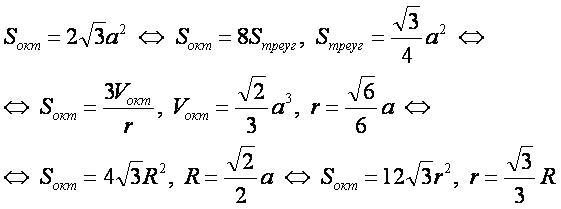
Обозначения[править]

a — длина ребра;
h — высота или диагональ;
r — радиус вписанной сферы;
R — радиус описанной сферы;
Sтреуг — площадь правильного треугольника (грани);
Vокт — объём октаэдра;
Sокт — площадь поверхности октаэдра.

Формула[править]

Невозможно разобрать выражение (Ошибка преобразования. Сервер («https://wikimedia.org/api/rest_») сообщил: «Cannot get mml. Server problem.»): {\displaystyle S_{\text{окт}}=4{\sqrt {3}}R^{2},\ R={\frac {\sqrt {2}}{2}}a\Leftrightarrow S_{\text{окт}}=12{\sqrt {3}}r^{2},\ r={\frac {\sqrt {3}}{3}}R}

Площадь других многогранников[править]