Алгоритм перераспределения перевозок для транспортной задачи
Алгоритм перераспределения перевозок — алгоритм построения цикла перераспределения и нахождения нового опорного решения для транспортной задачи (ТЗ).
Обозначения[править]
- — число поставщиков ;
- — число потребителей ;
- Невозможно разобрать выражение (Ошибка преобразования. Сервер («https://wikimedia.org/api/rest_») сообщил: «Cannot get mml. Server problem.»): {\displaystyle \Delta _{x}} — перераспределяемая часть перевозки;
- Невозможно разобрать выражение (Ошибка преобразования. Сервер («https://wikimedia.org/api/rest_») сообщил: «Cannot get mml. Server problem.»): {\displaystyle (i_{o},j_{o})} — вводимая в базис перевозка;
- — выводимая из базиса перевозка;
- — объём перевозки ;
- — базис решения — множество базисных перевозок (элементов) решения;
- — вспомогательное множество для построения цикла перераспределения перевозок;
- — матрица перевозок — текущее и новое решения.
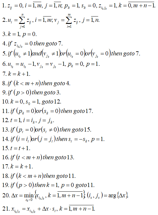
Алгоритм 1[править]
Входные данные: Невозможно разобрать выражение (Ошибка преобразования. Сервер («https://wikimedia.org/api/rest_») сообщил: «Cannot get mml. Server problem.»): {\displaystyle m,n,B_{o},(i_{o},j_{o}),X_{m\times n}} .
1. .
2. Если элемент, лежащий один в ряду ( или ), то Невозможно разобрать выражение (Ошибка преобразования. Сервер («https://wikimedia.org/api/rest_») сообщил: «Cannot get mml. Server problem.»): {\displaystyle G=G\setminus (i,j)} и переходим к пункту 2.
3. Элемент помечается знаком Невозможно разобрать выражение (Ошибка преобразования. Сервер («https://wikimedia.org/api/rest_») сообщил: «Cannot get mml. Server problem.»): {\displaystyle +} .
4. Если — непомеченный элемент, лежащий в одном рядy ( или ) с помеченным, то он помечается противоположным знаком и переходим к пункту 4.
5. Невозможно разобрать выражение (SVG с запасным PNG (MathML можно включить с помощью плагина для браузера): Недопустимый ответ («Math extension cannot connect to Restbase.») от сервера «https://wikimedia.org/api/rest_v1/»:): {\displaystyle \Delta_x = \min \limits_{(i, j)^ - \in {N_m \times N_n}} \{x_{ij} \}, (i_x, j_x) = \arg \{ \Delta_x \}} .
6. Невозможно разобрать выражение (SVG с запасным PNG (MathML можно включить с помощью плагина для браузера): Недопустимый ответ («Math extension cannot connect to Restbase.») от сервера «https://wikimedia.org/api/rest_v1/»:): {\displaystyle x_{ij} = x_{ij} + \Delta_x, \forall (i, j)^+ \in G; x_{ij} = x_{ij} - \Delta_x, \forall (i, j)^- \in G} .
Выходные данные: Невозможно разобрать выражение (SVG с запасным PNG (MathML можно включить с помощью плагина для браузера): Недопустимый ответ («Math extension cannot connect to Restbase.») от сервера «https://wikimedia.org/api/rest_v1/»:): {\displaystyle \Delta_x, (i_x, j_x), X_{m \times n}} .
Алгоритм 2[править]
Входные данные: Невозможно разобрать выражение (SVG с запасным PNG (MathML можно включить с помощью плагина для браузера): Недопустимый ответ («Math extension cannot connect to Restbase.») от сервера «https://wikimedia.org/api/rest_v1/»:): {\displaystyle m, n, B_o, (i_o, j_o), X_{m \times n}} .
Выходные данные: Невозможно разобрать выражение (SVG с запасным PNG (MathML можно включить с помощью плагина для браузера): Недопустимый ответ («Math extension cannot connect to Restbase.») от сервера «https://wikimedia.org/api/rest_v1/»:): {\displaystyle \Delta_x, (i_x, j_x), X_{m \times n}} .
Другие алгоритмы[править]

