Алгоритм расчёта потенциалов для транспортной задачи
(перенаправлено с «Алгоритм расчёта потенциалов для ТЗ»)
Перейти к навигации
Перейти к поиску
Алгоритм расчёта потенциалов — алгоритм нахождения потенциалов и оценок оптимальности для транспортной задачи (ТЗ).
Обозначения[править]
- — число поставщиков ;
- — число потребителей ;
- Невозможно разобрать выражение (Ошибка преобразования. Сервер («https://wikimedia.org/api/rest_») сообщил: «Cannot get mml. Server problem.»): {\displaystyle \Delta _{o}} — оценка оптимальности решения;
- Невозможно разобрать выражение (Ошибка преобразования. Сервер («https://wikimedia.org/api/rest_») сообщил: «Cannot get mml. Server problem.»): {\displaystyle (i_{o},j_{o})} — новая (оптимизирующая) перевозка;
- — базис решения — множество базисных перевозок решения;
- — потенциал поставщика ;
- Невозможно разобрать выражение (Ошибка преобразования. Сервер («https://wikimedia.org/api/rest_») сообщил: «Cannot get mml. Server problem.»): {\displaystyle v_{j}} — потенциал потребителя ;
- Невозможно разобрать выражение (Ошибка преобразования. Сервер («https://wikimedia.org/api/rest_») сообщил: «Cannot get mml. Server problem.»): {\displaystyle c_{ij}} — транспортный тариф на перевозку ;
- — оценка оптимальности для перевозки ;
- — матрица транспортных тарифов Невозможно разобрать выражение (Ошибка преобразования. Сервер («https://wikimedia.org/api/rest_») сообщил: «Cannot get mml. Server problem.»): {\displaystyle c_{ij}} .
Алгоритм 1[править]
- Входные данные: Невозможно разобрать выражение (Ошибка преобразования. Сервер («https://wikimedia.org/api/rest_») сообщил: «Cannot get mml. Server problem.»): {\displaystyle m,n,B_{o},C_{m\times n}} .
- 1. Невозможно разобрать выражение (Ошибка преобразования. Сервер («https://wikimedia.org/api/rest_») сообщил: «Cannot get mml. Server problem.»): {\displaystyle u_{1}=0} .
- 2. Если с известным и неизвестным , то и переходим к пункту 2.
- 3. Если с известным и неизвестным , то и переходим к пункту 3.
- 4. Если с известным и неизвестным , то переходим к пункту 2.
- 5. .
- 6. .
- Выходные данные: .
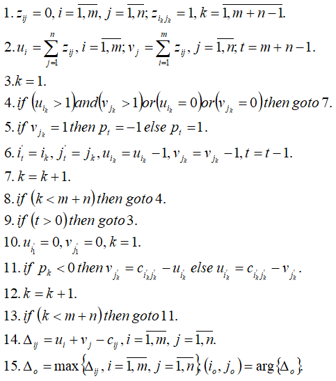
Алгоритм 2[править]
Входные данные: Невозможно разобрать выражение (Ошибка преобразования. Сервер («https://wikimedia.org/api/rest_») сообщил: «Cannot get mml. Server problem.»): {\displaystyle m,n,B_{o},C_{m\times n}} .
Выходные данные: .
Другие алгоритмы[править]

