Алгоритм северо-западного угла для транспортной задачи

Материал из Циклопедии
Перейти к навигации Перейти к поиску

Алгоритм северо-западного угла для ТЗалгоритм нахождения допустимого решения для транспортной задачи (ТЗ).

Обозначения[править]

— число поставщиков  ;
— число потребителей  ;
— объём поставок (продукции) поставщика  ;
— объём потребностей (в продукции) потребителя  ;
— объём перевозок  ;
— булева переменная обозначающая принадлежность перевозки к базису: — принадлежит базису, — не принадлежит базису,  ;
— вектор поставок  ;
— вектор потребностей  ;
— матрица перевозок  ;
— матрица базисных элементов .

Алгоритм 1[править]

Входные данные: .
1. .
2. .
3. Если , то , иначе .
4. Если , то переходим к пункту 2.
Выходные данные: .
  • Заметим, что при выборе новой клетки Невозможно разобрать выражение (Ошибка преобразования. Сервер («https://wikimedia.org/api/rest_») сообщил: «Cannot get mml. Server problem.»): {\displaystyle (i,j)} необходимо увеличивать на единицу или индекс , или индекс .

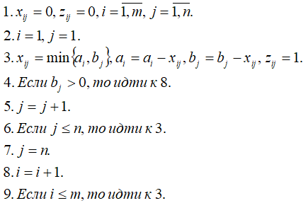
Алгоритм 2[править]

Входные данные: .

СЗУ003.png

Выходные данные: .

Другие алгоритмы[править]


Ссылки[править]

 
Транспортная задача

Транспортная задача (классическая) • Решение симплекс-методомРешение в ExcelТранспортная задача с промежуточными пунктами (и ограничением по транзиту, с запретами, открытая ТЗПП, метод потенциалов для ТЗПП) • Трёхиндексная транспортная задачаТрёхиндексная транспортная задача с аксиальными суммамиТрёхиндексная транспортная задача с промежуточными пунктами

Начальное решение

Метод северо-западного угла, (метод северо-западного угла для ТЗПП) • Метод минимальных тарифов (алгоритм минимального элемента для ТТЗ) • Метод Фогеля‎

Вырожденные случаи

Вырожденность в ТЗАцикличность в ТЗ