Доказательство суммы обратных сумм корней текущего и предыдущего чисел
Перейти к навигации
Перейти к поиску
Доказательство суммы обратных сумм корней текущего и предыдущего чисел.
Обозначения[править]
- n – число слагаемых;
- n1 – номер первого текущего числа, n1>0;
- ai – i-ое слагаемое;
- Sn – сумма n слагаемых.
Формула[править]
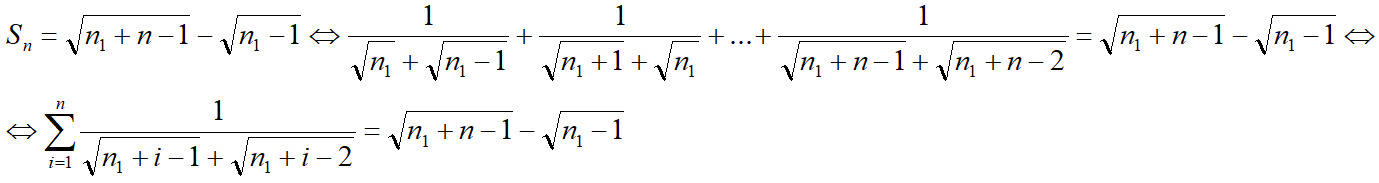
Доказательство[править]
ч.т.д.
Другие доказательства:[править]
- Доказательство суммы обратных произведений текущего и последующего чисел;
- Доказательство суммы обратных произведений текущего и последующего нечётных чисел;
- Доказательство суммы обратных сумм корней текущего и предыдущего чисел;
- Доказательство суммы обратных сумм корней текущего и последующего чисел;
- Доказательство суммы обратных неполных квадратов сумм кубических корней текущего и предыдущего чисел;
- Доказательство суммы обратных неполных квадратов сумм кубических корней текущего и последующего чисел;
- Доказательство суммы обратных произведений сумм корней второй и четвёртой степеней текущего и предыдущего чисел;
- Доказательство суммы обратных произведений сумм корней второй и четвёртой степеней текущего и последующего чисел;
- Доказательство суммы логарифмов отношений последующего и текущего чисел;
- Доказательство суммы синусов кратных углов;
- Доказательство суммы косинусов кратных углов;
- ММИ для суммы арифметической прогрессии;
- ММИ для суммы геометрической прогрессии;
- ММИ для суммы n натуральных чисел;
- ММИ для суммы квадратов n натуральных чисел;
- ММИ для суммы кубов n натуральных чисел;
- ММИ для суммы обратных произведений текущего и последующего чисел;
- ММИ для суммы обратных произведений текущего и последующего нечётных чисел;
- ММИ для суммы обратных сумм корней текущего и предыдущего чисел;
- ММИ для суммы обратных сумм корней текущего и последующего чисел;
- ММИ для суммы обратных неполных квадратов сумм кубических корней текущего и предыдущего чисел;
- ММИ для суммы обратных неполных квадратов сумм кубических корней текущего и последующего чисел;
- ММИ для суммы обратных произведений сумм корней второй и четвёртой степеней текущего и предыдущего чисел;
- ММИ для суммы обратных произведений сумм корней второй и четвёртой степеней текущего и последующего чисел;
- ММИ для суммы отношений числа и 2 в степени этого числа для n натуральных чисел;
- ММИ для суммы логарифмов отношений последующего и текущего чисел;
- ММИ для суммы синусов кратных углов;
- ММИ для суммы косинусов кратных углов.

