Замкнутая СМО без очереди
СМО замкнутая без очереди — это система массового обслуживания, в которой есть фиксированное число источников заявок. Поток заявок каждого источника имеет одинаковую интенсивность. Первоначальный поток заявок имеет интенсивность большую в «число источников»-раз, чем поток заявок от одного источника. Каждое поступление заявки, снижает интенсивность входного потока на интенсивность потока от одного источника. Если заявка приходит, в момент, когда все каналы свободны, то она немедленно поступает на обслуживание одним любым каналом. Если заявка приходит, в момент, когда свободен хотя бы один канал, то она немедленно поступает на обслуживание одним из свободных каналов. Максимальное число заявок равно числу каналов.
Описание модели[править]
На вход n-канальной СМО поступает поток заявок от n-источников, причём каждый источник заявок даёт простейший поток заявок с интенсивностью λ.
Интенсивность простейшего потока обслуживания каждого канала μ.
Если заявка застаёт все каналы свободными, то она принимается на обслуживание и обслуживается одним из n каналов.
После окончания обслуживания один канал освобождается.
Если вновь прибывшая заявка застаёт в системе свободным хотя бы один канал, то она принимается на обслуживание одним из свободных каналов и обслуживается до конца.
Каждое поступление заявки, снижает интенсивность входного потока на поток от одного источника.
Состояние рассмотренной системы будем связывать с числом заявок, находящихся в системе.
Граф состояний[править]
Рассмотрим множество состояний системы:
S0 — в системе нет ни одной заявки, все каналы свободны;
S1 — в системе имеется одна заявка, она обслуживается одним каналом;
S2 — в системе имеется две заявки, они обслуживаются двумя каналами;
…;
Sk-1 — в системе имеется (k-1)-заявок, они обслуживаются (k-1)-каналами;
Sk — в системе имеется k-заявок, они обслуживаются k-каналами;
Sk+1 — в системе имеется (k+1)-заявок, они обслуживаются (k+1)-каналами;
…;
Sn-1 — в системе имеется (n-1)-заявок, они обслуживаются (n-1)-каналами.
Sn — в системе имеется n-заявок, они обслуживаются n-каналами.
Система дифференциальных уравнений[править]
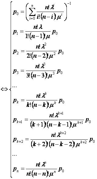
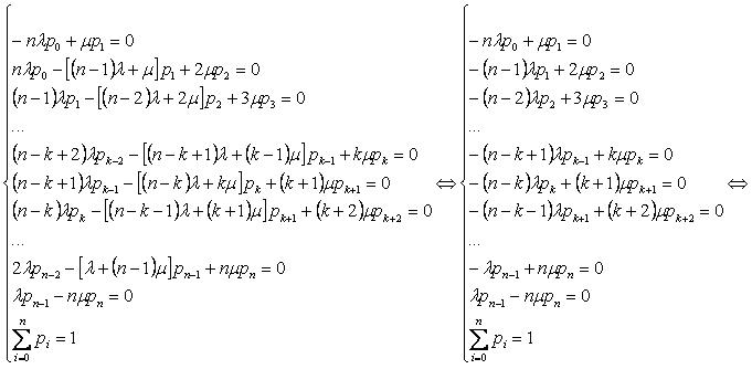
Система дифференциальных уравнений, описывающих поведение системы, имеет вид:
Рассмотрим стационарный режим работы системы (при t→∞).
Система уравнений принимает вид:
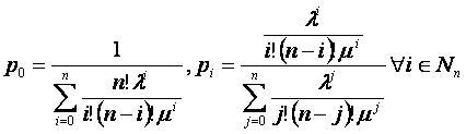
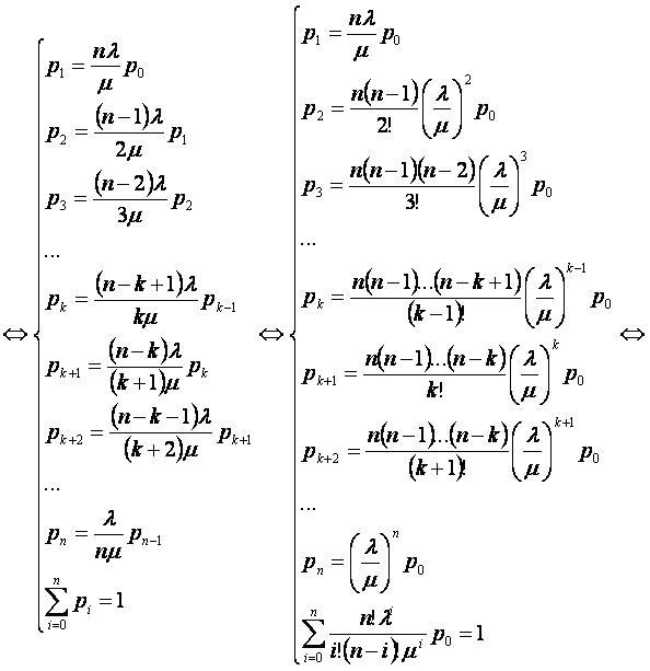
Суммируя в системе уравнения с первого до i-го (i=1,n), получаем упрощённый вид системы.
Решим систему относительно p0,p1,…,pn.
В результате получаем решение системы:
Основные характеристики системы[править]
- Заметим, что при n=1 СМО замкнутая без очереди становится одноканальной.
Другие СМО[править]
- СМО с отказами;
- СМО с очередью;
- СМО с ограниченным временем ожидания;
- СМО замкнутая с очередью;
- СМО с взаимопомощью с очередью;
- СМО с отказами и взаимопомощью;
- СМО с бесконечным числом каналов;
- СМО с бесконечной очередью.
Литература[править]
- Овчаров Л. А. Прикладные задачи теории массового обслуживания, «Машиностроение», М.,1969.