Обращение (математика)

Материал из Циклопедии
Перейти к навигации Перейти к поиску
← другие значения

Обращение — дедуктивное непосредственное умозаключение, состоящее из категорических посылки и заключения.

Определение[править]

Обращение — преобразование (операция) категорического суждения — образование нового суждения путём перестановки субъекта и предиката при сохранении качества суждения.

Такое обращение суждения возможно, если оба термина в суждении распределены или оба не распределены. Частноотрицательные суждения не обращаются, поскольку нельзя установить, исходя из распределённости предиката, как относится его объём к объёму нераспределённого субъекта.

Состав обращения[править]

Состав из терминов[править]

В обращение входят два термина:

  • S — меньший термин: субъект заключения (входит в посылку);
  • P — больший термин: предикат заключения (входит в посылку);

Состав из суждений[править]

В превращение входят два суждения:

  • посылка, включает S и P;
  • заключение, включает P и S.
  • Посылка — категорическое суждение.
  • Заключение — категорическое суждение.

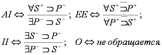
Структурные схемы[править]

Обращение (перестановка субъекта и предиката).

УМ12.JPG

Другие умозаключения:[править]


Ссылки[править]