Эквивалентно-категорические умозаключения
Эквивалентно-категорическое умозаключение — дедуктивное умозаключение, в котором одна из посылок — эквивалентное, а другая посылка и заключение — категорические суждения.
Схема умозаключения[править]
- Большая посылка — эквивалентное суждение.
- Меньшая посылка — категорическое уверждающее или отрицающее суждение.
- В заключении соответствующее категорическое суждение.
Поскольку в первой посылке эквивалентно-категорического силлогизма нельзя выделить ни основания, ни следствия, то в эквивалентно-категорическом силлогизме и утверждать, и отрицать можно как угодно, то есть в эквивалентно-категорическом силлогизме все четыре модуса являются правильными.
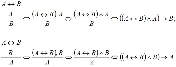
Утверждающий модус[править]
В утверждающем модусе (modus ponens) меньшая посылка, выраженная категорическим суждением, утверждает истинность одного суждения, а заключение утверждает истинность другого суждения. Первая посылка – эквивалентное суждение, выражающее связь двух простых суждений. Вторая посылка – категорическое суждение, в котором утверждается истинность одного суждения. Признав истинность одного суждения, признаём истинность эквивалентного суждения.
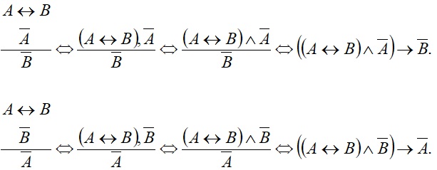
Отрицающий модус[править]
В отрицающем модусе (modus tollens) меньшая посылка, выраженная категорическим суждением, отрицает истинность одного суждения, а заключение утверждает отрицает истинность другого суждения. Рассуждение направлено от отрицания истинности одного суждения к отрицанию истинности эквивалентного суждения.
Другие умозаключения:[править]

