Условно-категорическое умозаключение
Условно-категорическое умозаключение — дедуктивное умозаключение, в котором одна из посылок — условное, а другая посылка и заключение — категорические суждения.
Схема умозаключения[править]
- Большая посылка — условное суждение.
- Меньшая посылка совпадает с утверждающим или отрицающим суждением.
- В заключении соответствующее категорическое суждение.
Условным называют суждение, состоящее из двух простых суждений, связанных логической связкой «если.., то...», а к категорическим суждениям относятся те, в которых утверждается или отрицается связь между предметом и его признаком. Условно-категорическое умозаключение имеет два правильных модуса: утверждающий и отрицающий. Правильные модусы условно-категорического умозаключения подчиняются правилу: утверждение основания ведет к утверждению следствия и отрицание следствия — к отрицанию основания. Неправильные модусы, подчиняются правилу: отрицание основания не ведёт с необходимостью к отрицанию следствия, а утверждение следствия не ведёт с необходимостью к утверждению основания.
Утверждающий модус[править]
В утверждающем модусе (modus ponens) меньшая посылка, выраженная категорическим суждением, утверждает истинность основания условной посылки, а заключение утверждает истинность следствия. Первая посылка – условное суждение, выражающее связь основания и следствия. Вторая посылка – категорическое суждение, в котором утверждается истинность основания. Признав истинность основания, признаем истинность следствия.
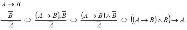
Отрицающий модус[править]
В отрицающем модусе (modus tollens) меньшая посылка, выраженная категорическим суждением, отрицает истинность следствия условной посылки, а заключение отрицает истинность основания. Рассуждение направлено от отрицания истинности следствия к отрицанию истинности основания.
Другие умозаключения:[править]
Ссылки[править]
- Википедия
- Участник:Logic-samara

