Чисто условные умозаключения
Перейти к навигации
Перейти к поиску
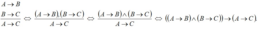
Чисто условное умозаключение — это дедуктивное умозаключение, в котором обе посылки и заключение — условные суждения.
Схема умозаключения[править]
- Большая посылка — условное суждение.
- Меньшая посылка — условное суждение.
- В заключении — условное суждение.
Условным называют суждение, состоящее из двух простых суждений, связанных логической связкой «если.., то...». Умозаключение, в котором заключение получается из двух условных посылок, относится к простым. Вывод в чисто условном умозаключении основывается на правиле: следствие следствия есть следствие основания.
Другие умозаключения:[править]
Ссылки[править]
- Википедия
- Участник:Logic-samara
