Разделительно-категорические умозаключения
Разделительно-категорическое умозаключение — это дедуктивное умозаключение, в котором одна из посылок — разделительное, а другая посылка и заключение — категорические суждения.
Схема умозаключения[править]
- Большая посылка — дизъюнктивное суждение.
- Меньшая посылка совпадает с одним из членов дизъюнктивного суждения или отрицает все, кроме одного.
- В заключении, соответственно, отрицаются все члены, кроме указанного во второй посылке, или утверждается пропущенный член.
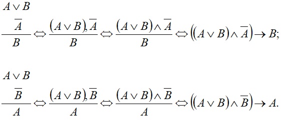
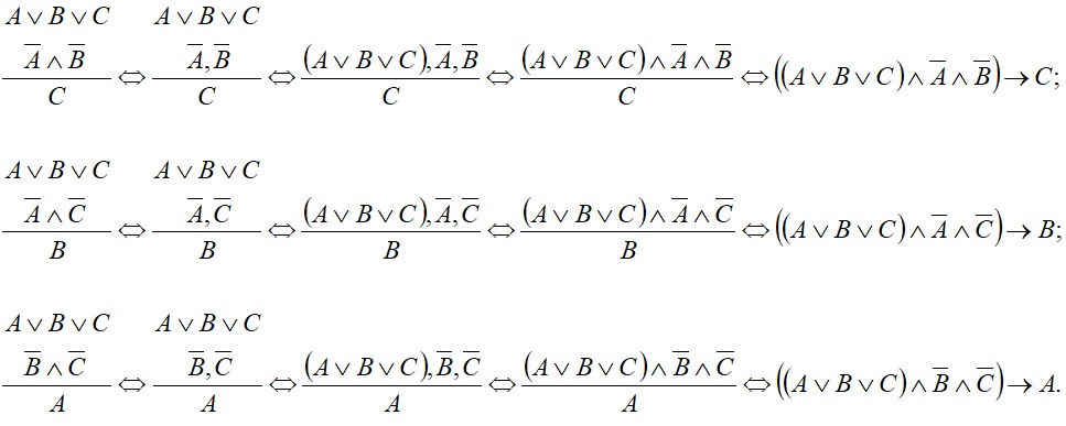
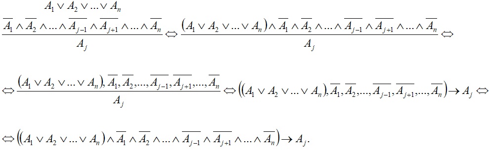
Отрицающе-утверждающий модус[править]
В отрицающее-утверждающем модусе (modus tollendo ponens) меньшая посылка — категорическое суждение — отрицает все члены дизъюнкции, кроме одного, заключение — также категорическое суждение — утверждает оставшийся член дизъюнкции. Большая посылка должна быть дизъюнктивным высказыванием, в ней должны быть перечислены все возможные суждения — дизъюнкты.
Дизъюнция 2-х[править]
Дизъюнция 3-х[править]
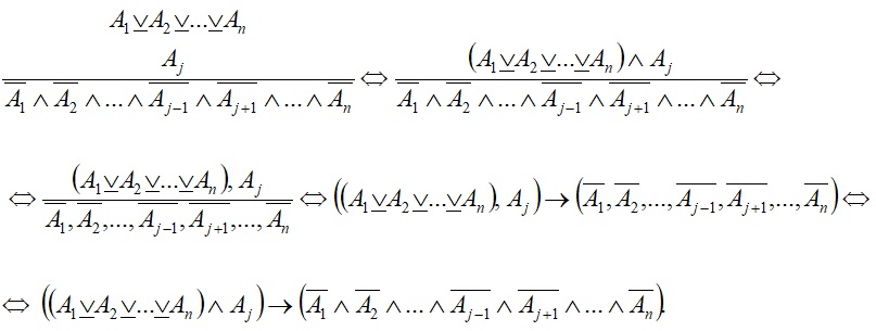
Дизъюнция n[править]
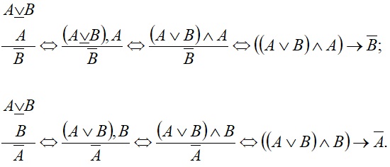
Утверждающе-отрицающий модус[править]
В утверждающе-отрицающем модусе (modus ponendo tollens) меньшая посылка — категорическое суждение — утверждает один член дизъюнкции, заключение — также категорическое суждение — отрицает все другие её члены. Заключение по этому модусу достоверно, если соблюдается правило: в большей посылке должны быть перечислены все возможные суждения — дизъюнкты, иначе говоря, большая посылка должна быть разделительным (полным, закрытым, строгим) дизъюнктивным высказыванием. Применяя обычное (неполное, открытое, не строгое) дизъюнктивное высказывание, достоверного заключения получить нельзя.
Разделительная дизъюнция 2-х[править]
Разделительная дизъюнция 3-х[править]
Разделительная дизъюнция n[править]
Другие умозаключения:[править]
Ссылки[править]
- Википедия
- Участник:Logic-samara





