Объём эллиптического конуса
Перейти к навигации
Перейти к поиску
Объём эллиптического конуса — число, характеризующее эллиптический конус в единицах измерения объёма.
Эллиптический конус — поверхность в трёхмерном пространстве, полученная деформацией конуса вдоль двух взаимно перпендикулярных осей (перпендикулярных оси конуса).
Обозначения[править]
a — большая полуось основания;
b — малая полуось основания;
h — высота эллиптического конуса;
Sосн — площадь основания (эллипса);
Vэлл.кон — объём эллиптического конуса.
Формула[править]
Вывод формулы[править]
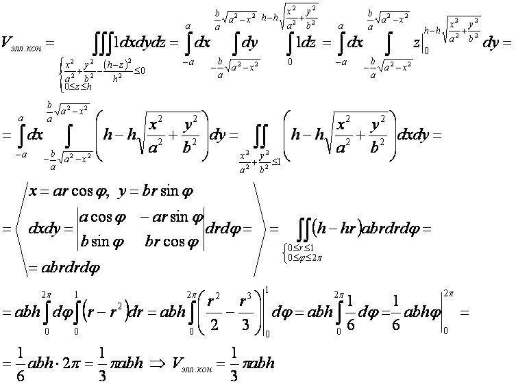
1-ый способ[править]
- Для вывода используется формула «объём трёхмерной фигуры» в прямоугольных координатах.
- Для нахождения интеграла используется переход к двойному интегралу и метод замены переменных.
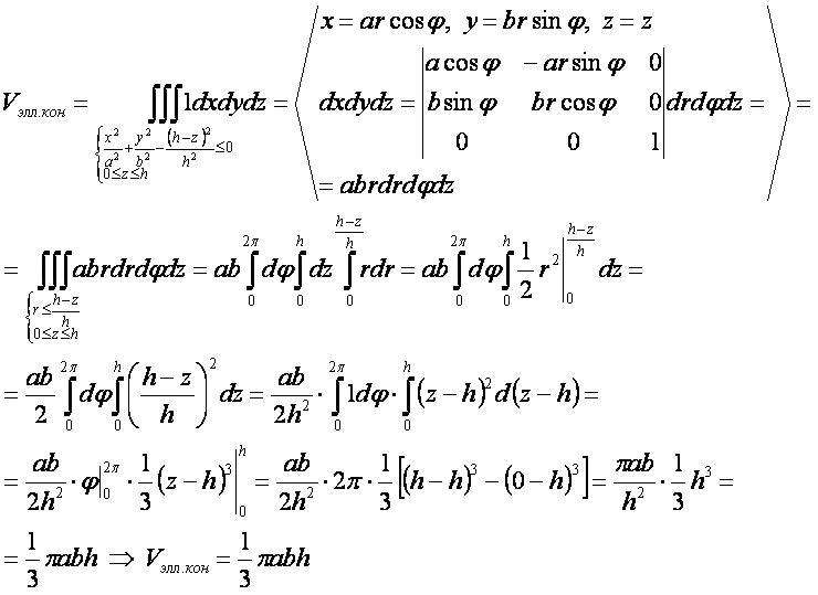
2-ой способ[править]
- Для вывода используется формула «объём трёхмерной фигуры» в прямоугольных координатах.
- Для нахождения интеграла используется метод замены переменных с переходом к цилиндрическим координатам.
Другие фигуры[править]