Объём эллиптического цилиндра
Перейти к навигации
Перейти к поиску
Объём эллиптического цилиндра — это число, характеризующее эллиптический цилиндр в единицах измерения объёма.
Эллиптический цилиндр — это поверхность в трёхмерном пространстве, полученная деформацией цилиндра вдоль двух взаимно перпендикулярных осей (перпендикулярных оси цилиндра).
Обозначения[править]
a — большая полуось основания;
b — малая полуось основания;
h — высота эллиптического цилиндра;
Sосн — площадь основания;
Vэлл.цил — объём эллиптического цилиндра.
Формула[править]
Вывод формулы[править]
1-ый способ[править]
- Для вывода используется формула «объём трёхмерной фигуры» в прямоугольных координатах.
- Для нахождения интеграла используется формула 3 «интегралы функций с корнями».
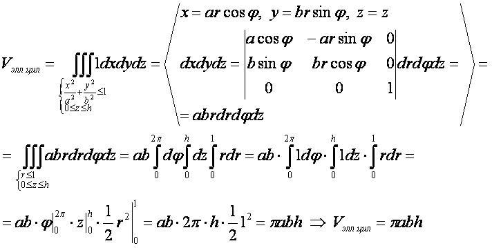
2-ой способ[править]
- Для вывода используется формула «объём трёхмерной фигуры» в прямоугольных координатах.
- Для нахождения интеграла используется метод замены переменных с переходом к цилиндрическим координатам.
Другие фигуры:[править]