В четверг, 7 мая, около 16 часов (MSK) регистратор заморозил домен «cyclowiki.org» без уведомления владельцев. Сайт недоступен из большинства стран. Правление изучает возможности решения проблемы.
Перевод чисел в десятичную систему счисления
Перейти к навигации
Перейти к поиску
Перевод чисел в десятичную систему счисления — это преобразование чисел какой-либо системы счисления в числа десятичной системы счисления.
Алгоритм[править]
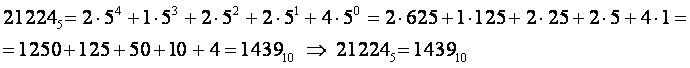
Считается сумма произведений цифр исходной системы счисления (предварительно переведённых в десятичную систему счисления) на веса разрядов (основание системы счисления в степени номер разряда, начиная с нулевого) в исходной системе. Полученное число является записью исходного числа в десятичной системе счисления.
Примеры перевода чисел в десятичную систему счисления[править]
Перевод 2→10[править]
Перевод 3→10[править]
Перевод 4→10[править]
Перевод 5→10[править]
Перевод 6→10[править]
Перевод 7→10[править]
Перевод 8→10[править]
Перевод 9→10[править]
Перевод 10→10[править]
Перевод 11→10[править]
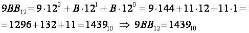
Перевод 12→10[править]
Перевод 13→10[править]
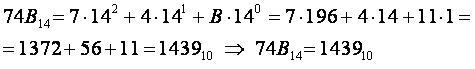
Перевод 14→10[править]
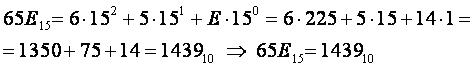
Перевод 15→10[править]
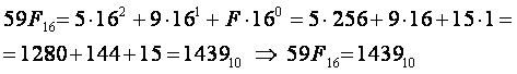
Перевод 16→10[править]
Алгоритмы перевода чисел
- перевод чисел из двоичной системы счисления в четверичную;
- перевод чисел из двоичной системы счисления в восьмеричную;
- перевод чисел из двоичной системы счисления в шестнадцатеричную;
- перевод чисел из троичной системы счисления в девятеричную;
- перевод чисел из четверичной системы счисления в двоичную;
- перевод чисел из четверичной системы счисления в восьмеричную;
- перевод чисел из четверичной системы счисления в шестнадцатеричную;
- перевод чисел из восьмеричной системы счисления в двоичную;
- перевод чисел из восьмеричной системы счисления в четверичную;
- перевод чисел из восьмеричной системы счисления в шестнадцатеричную;
- перевод чисел из девятеричной системы счисления в троичную;
- перевод чисел из шестнадцатеричной системы счисления в двоичную;
- перевод чисел из шестнадцатеричной системы счисления в четверичную;
- перевод чисел из шестнадцатеричной системы счисления в восьмеричную;
- перевод чисел из десятичной системы счисления;
- перевод чисел в десятичную систему счисления;
- перевод чисел из десятичной системы счисления в одиннадцатиричную специальную;
- перевод чисел из одиннадцатиричной специальной системы счисления в десятичную.