Гипотеза о равенстве средних при известной дисперсии
‡Гипотеза о равенстве средних при известной дисперсии — гипотеза о том, что при известных дисперсиях, средние двух совокупностей равны.
Для нормально распределённой случайной величины использует статистику, имеющую стандартизованное распределение, N(0;1).
Обозначения[править]
nx — число значений в выборке X;
ny — число значений в выборке Y;
— средняя генеральной совокупности X;
— средняя генеральной совокупности Y;
— средняя в выборке X, ;
— средняя в выборке Y, ;
Dx=σx2 — дисперсия генеральной совокупности X;
Dy=σy2 — дисперсия генеральной совокупности Y;
α — уровень значимости — вероятность ошибки 1-го рода;
γ=1-α — коэффициент доверия;
x — переменная стандартизованной случайной величины;
u — статистика, распределённая по нормальному закону N(0;1);
— интегральная функция нормального закона распределения стандартизованной случайной величины;
— интегральная функция Лапласа, отличается от интегральной функции нормального закона для стандартизованной случайной величины на 0,5, т.е. Ф(x)=F(x)-0,5.
Гипотезы о средних:[править]
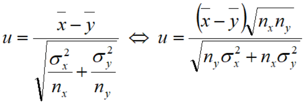
— статистика, распределённая по нормальному закону N(0;1).
Пример 1[править]
— критерий отклонения гипотезы H0.
Пример 2[править]
— критерий отклонения гипотезы H0.
- Заметим, что u1-α=-uα.
Пример 3[править]
— критерий отклонения гипотезы H0.
- Заметим, что uα=-u1-α.
Другие гипотезы:[править]
- Гипотеза о средней равной числу при известной дисперсии;
- Гипотеза о средней равной числу при неизвестной дисперсии;
- Гипотеза о дисперсии равной числу при известной средней;
- Гипотеза о дисперсии равной числу при неизвестной средней;
- Гипотеза о равенстве дисперсий;
- Гипотеза о равенстве межгрупповой и внутригрупповой дисперсий;
- Гипотеза о равенстве нескольких дисперсий;
- Гипотеза о равенстве средних при известной дисперсии;
- Гипотеза о равенстве средних при неизвестной дисперсии;
- Гипотеза о равенстве средних при неизвестных дисперсиях;
- Гипотеза о равенстве разности средних числу при известных дисперсиях;
- Гипотеза о вероятности равной числу;
- Гипотеза о равенстве вероятностей;
- Гипотеза о нормальном законе распределения;
- Гипотеза об отсутствии линейной корреляционной связи;
- Гипотеза о коэффициенте линейного уравнения регрессии равном нулю;
- Гипотеза о коэффициенте линейного уравнения множественной регрессии равном нулю;
- Гипотеза о значимости линейного уравнения регрессии;
- Гипотеза о значимости линейного уравнения множественной регрессии;
- Гипотеза о коэффициенте корреляции равном числу;
- Гипотеза о коэффициенте корреляции равном нулю;
- Гипотеза о равенстве коэффициентов корреляции.