Нормальное распределение
Перейти к навигации
Перейти к поиску
Нормальное распределение (распределение Гаусса) — двухпараметрическое распределение непрерывной случайной величины с экспонентой в функциях распределения.
Обозначения[править]
- — случайная величина;
- — стандартизованная случайная величина;
- — дифференциальная функция распределения стандартизованной случайной величины;
- — интегральная функция распределения стандартизованной случайной величины;
- — дифференциальная функция распределения — функция плотности вероятности;
- — интегральная функция распределения — функция вероятности ;
- — средняя — математическое ожидание;
- — дисперсия;
- — среднеквадратическое отклонение;
- — медиана;
- — мода;
- — коэффициент асимметрии;
- — коэффициент эксцесса.
Функции распределения[править]
Дифференциальная функция[править]
Формулы[править]
Графики[править]
- При и нормальное распределение называется Стандартное нормальное распределение.
Интегральная функция[править]
Формулы[править]
- Невозможно разобрать выражение (Ошибка преобразования. Сервер («https://wikimedia.org/api/rest_») сообщил: «Cannot get mml. Server problem.»): {\displaystyle F_{X}(x)={\frac {1}{\sigma {\sqrt {2\pi }}}}\int \limits _{-\infty }^{x}e^{-{\frac {(t-\mu )^{2}}{2\sigma ^{2}}}}dt\Leftrightarrow F_{X}(x)={\frac {1}{\sigma }}\Phi _{U}\left({\frac {x-\mu }{\sigma }}\right)}
Графики[править]
Характеристики[править]
Вывод формул[править]
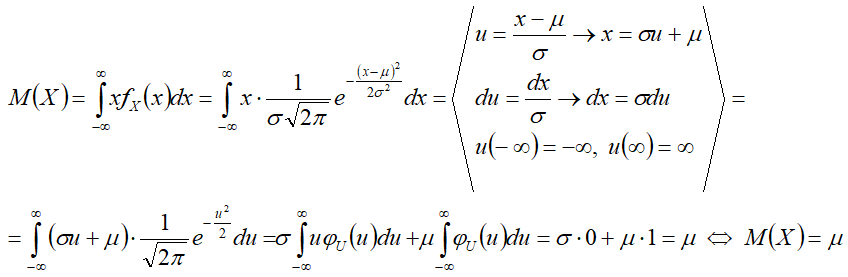
Математическое ожидание[править]
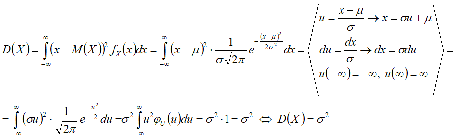
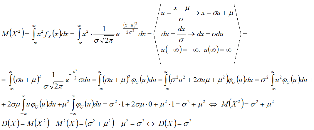
Дисперсия[править]
1-й способ[править]
2-й способ[править]
Другие распределения[править]
- Распределения дискретной случайной величины:
- Распределения непрерывной случайной величины:
- Бета-распределение;
- распределение Вейбулла;
- Гамма-распределение;
- распределение Гаусса;
- квадратичное распределение;
- распределение Коши;
- распределение Лапласа;
- линейное распределение;
- логистическое распределение;
- логнормальное распределение;
- нормальное распределение;
- распределение Парето;
- показательное распределение;
- непрерывное равномерное распределение;
- распределение Рэлея;
- распределение Сосновского;
- распределение Стьюдента;
- Ти-распределение;
- распределение Фишера-Снедекора;
- распределение Хи-квадрат;
- экспоненциальное распределение;
- Эл-распределение;
- Эф-распределение.
См. также[править]
Литература[править]
- Корн Г., Корн Т. Справочник по математике для научных работников и инженеров. М.: Наука, 1970, стр.514.
Ссылки[править]
| Файл:Bvn-small.png | Вероятностные распределения | |
|---|---|---|
| Одномерные | Многомерные | |
| Дискретные: | Бернулли | Биномиальное | Геометрическое | Гипергеометрическое | Логарифмическое | Отрицательное биномиальное | Пуассона | Дискретное равномерное | Мультиномиальное |
| Абсолютно непрерывные: | Бета | Вейбулла | Гамма- | Гиперэкспоненциальное | Гомпертца | Колмогорова | Коши | Лапласа | Логнормальное | Нормальное (Гаусса) | Логистическое | Накагами | Парето | Пирсона | Полукруговое | Непрерывное равномерное | Райса | Рэлея | Стьюдента | Трейси — Видома | Фишера | Хи-квадрат | Экспоненциальное | Variance-gamma | Многомерное нормальное | Копула |




