Геометрическое распределение
Перейти к навигации
Перейти к поиску
Геометрическое распределение — распределение дискретной случайной величины, равной номеру первого наступления события в независимых испытаниях (их бесконечное число), в каждом из которых оно может произойти с одной и той же вероятностью p.
Обозначения[править]
- X — случайная величина, равная номеру первого наступления события в независимых испытаниях;
- p — вероятность наступления события в одном испытании;
- q — вероятность не наступления события в одном испытании;
- N — множество натуральных чисел;
- pX(x) — функция вероятности P(X=x);
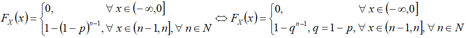
- FX(x) — интегральная функция распределения — функция вероятности P(X<x);
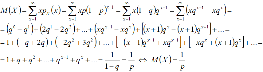
- M(X) — средняя — математическое ожидание;
- D(X) — дисперсия;
- σ(X) — среднеквадратическое отклонение;
- Me(X) — медиана;
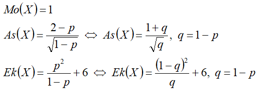
- Mo(X) — мода;
- As(X) — коэффициент асимметрии;
- Ek(X) — коэффициент эксцесса.
Функции распределения:[править]
Функция вероятности[править]
Формулы[править]
График[править]
Интегральная функция[править]
Формулы[править]
График[править]
Характеристики[править]
Вывод формул[править]
Математическое ожидание[править]
1-й способ[править]
- в доказательстве используется приём перегруппировки членов ряда.
2-й способ[править]
- в доказательстве используется приём дифференцирования рядов.
Дисперсия[править]
- в доказательстве используется приём дифференцирования рядов.
Другие распределения[править]
- Распределения дискретной случайной величины:
- Распределения непрерывной случайной величины:
- Бета-распределение;
- распределение Вейбулла;
- Гамма-распределение;
- распределение Гаусса;
- квадратичное распределение;
- распределение Коши;
- распределение Лапласа;
- линейное распределение;
- логистическое распределение;
- логнормальное распределение;
- нормальное распределение;
- распределение Парето;
- показательное распределение;
- непрерывное равномерное распределение;
- распределение Рэлея;
- распределение Сосновского;
- распределение Стьюдента;
- Ти-распределение;
- распределение Фишера-Снедекора;
- распределение Хи-квадрат;
- экспоненциальное распределение;
- Эл-распределение;
- Эф-распределение.
Литература[править]
- Корн Г., Корн Т. Справочник по математике для научных работников и инженеров. М.: Наука, 1970, стр.512.
Ссылки[править]
| Файл:Bvn-small.png | Вероятностные распределения | |
|---|---|---|
| Одномерные | Многомерные | |
| Дискретные: | Бернулли | Биномиальное | Геометрическое | Гипергеометрическое | Логарифмическое | Отрицательное биномиальное | Пуассона | Дискретное равномерное | Мультиномиальное |
| Абсолютно непрерывные: | Бета | Вейбулла | Гамма- | Гиперэкспоненциальное | Гомпертца | Колмогорова | Коши | Лапласа | Логнормальное | Нормальное (Гаусса) | Логистическое | Накагами | Парето | Пирсона | Полукруговое | Непрерывное равномерное | Райса | Рэлея | Стьюдента | Трейси — Видома | Фишера | Хи-квадрат | Экспоненциальное | Variance-gamma | Многомерное нормальное | Копула |







