Распределение Парето
Перейти к навигации
Перейти к поиску
Распределение Парето — распределение непрерывной случайной величины, превышающей некоторое значение и плотностью вероятности с отрицательной степенью величины .
Закон Парето (или принцип 80/20) — это эмпирическое правило, которое гласит, что 20% усилий дают 80% результата, а остальные 80% усилий приносят лишь 20% итога.
Обозначения[править]
- — случайная величина;
- — параметр распределения;
- — параметр нижней границы, ;
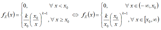
- — дифференциальная функция распределения — функция плотности вероятности;
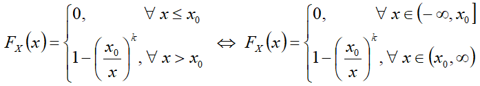
- — интегральная функция распределения — функция вероятности ;
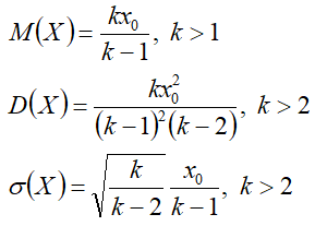
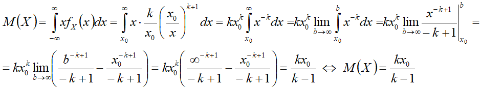
- — средняя — математическое ожидание;
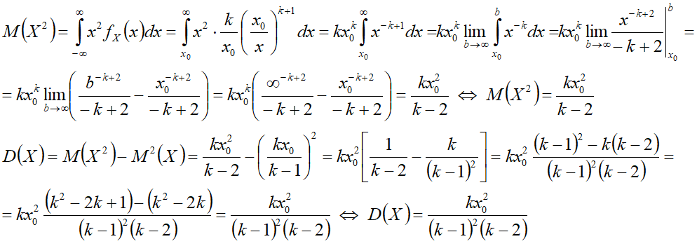
- — дисперсия;
- — среднеквадратическое отклонение;
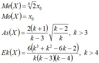
- — медиана;
- — мода;
- — коэффициент асимметрии;
- — коэффициент эксцесса.
Функции распределения:[править]
Дифференциальная функция[править]
Формулы[править]
Графики[править]
Интегральная функция[править]
Формулы[править]
Графики[править]
Характеристики:[править]
Вывод формул:[править]
Математическое ожидание[править]
Дисперсия[править]
Другие распределения:[править]
- Распределения дискретной случайной величины:
- Распределения непрерывной случайной величины:
- Бета-распределение;
- распределение Вейбулла;
- Гамма-распределение;
- распределение Гаусса;
- квадратичное распределение;
- распределение Коши;
- распределение Лапласа;
- линейное распределение;
- логистическое распределение;
- логнормальное распределение;
- нормальное распределение;
- распределение Парето;
- показательное распределение;
- непрерывное равномерное распределение;
- распределение Рэлея;
- распределение Сосновского;
- распределение Стьюдента;
- Ти-распределение;
- распределение Фишера-Снедекора;
- распределение Хи-квадрат;
- экспоненциальное распределение;
- Эл-распределение;
- Эф-распределение.
Литература[править]
- Фадеева Л.Н., Лебедев А.В. Теория вероятностей и математическая статистикаого обслуживания, «ЭКСМО», М., 2010, стр.131-132.
Ссылки[править]
| Файл:Bvn-small.png | Вероятностные распределения | |
|---|---|---|
| Одномерные | Многомерные | |
| Дискретные: | Бернулли | Биномиальное | Геометрическое | Гипергеометрическое | Логарифмическое | Отрицательное биномиальное | Пуассона | Дискретное равномерное | Мультиномиальное |
| Абсолютно непрерывные: | Бета | Вейбулла | Гамма- | Гиперэкспоненциальное | Гомпертца | Колмогорова | Коши | Лапласа | Логнормальное | Нормальное (Гаусса) | Логистическое | Накагами | Парето | Пирсона | Полукруговое | Непрерывное равномерное | Райса | Рэлея | Стьюдента | Трейси — Видома | Фишера | Хи-квадрат | Экспоненциальное | Variance-gamma | Многомерное нормальное | Копула |







